ABSTRACT
Objective: To compare the behavior of the oxygen uptake efficiency slope (OUES) with that of oxygen uptake at peak exertion (VO2peak). Methods: This was a prospective cross-sectional study involving 21 patients (15 men) with mild-to-moderate COPD undergoing spirometry, handgrip strength (HGS) testing, cardiopulmonary exercise testing, and determination of lactate at peak exertion (LACpeak). Results: Mean weight was 66.7 ± 13.6 kg, and mean age was 60.7 ± 7.8 years. With the exception of FEV1 and FEV1/FVC ratio (75.8 ± 18.6% of predicted and 56.6 ± 8.8%, respectively), all spirometric variables were normal, as was HGS. The patients exhibited significant metabolic and hemodynamic stress, as evidenced by the means (% of predicted) for VO2peak (93.1 ± 15.4), maximum HR (92.5 ± 10.4), and OUES (99.4 ± 24.4), as well as for the gas exchange rate (1.2 ± 0.1). The correlation between VO2peak and OUES was significant (r = 0.747; p < 0.0001). The correlation between HGS and VO2peak (r = 0.734; pX< 0.0001) was more significant than was that between HGS and OUES (r = 0.453; p < 0.05). Similar results were found regarding the correlations of VO2peak and OUES with MIP. Although LACpeak correlated significantly with VO2peak (r = −0.731; p < 0.0001), only LACpeak/maximum power correlated significantly with OUES (r = −0.605; p = 0.004). Conclusions: Our findings suggest that, in mild-to-moderate COPD, VO2 determinants other than overall muscle strength have a greater impact on OUES than on VO2peak.
Keywords:
Respiratory function tests; Pulmonary disease, chronic obstructive; Muscle strength; Oxygen consumption.
RESUMO
Objetivo: Comparar o comportamento de oxygen uptake efficiency slope (OUES, inclinação da eficiência do consumo de oxigênio) com o do consumo de oxigênio no pico do exercício (VO2pico). Métodos: Estudo prospectivo transversal envolvendo 21 pacientes (15 homens) com DPOC leve/moderada que foram submetidos a espirometria, dinamometria de preensão palmar (DIN), teste cardiopulmonar de exercício e medida de lactato no pico do exercício (LACpico). Resultados: A média de peso foi 66,7 ± 13,6 kg, e a de idade foi 60,7 ± 7,8 anos. Com exceção de VEF1 e relação VEF1/CVF (75,8 ± 18,6 do previsto e 56,6 ± 8,8, respectivamente), as demais variáveis espirométricas foram normais, assim como DIN. As médias, em % do previsto, para VO2pico (93,1 ± 15,4), FC máxima (92,5 ± 10,4) e OUES (99,4 ± 24,4), assim como a da taxa de troca respiratória (1,2 ± 0,1), indicaram estresse metabólico e hemodinâmico importante. A correlação entre o VO2pico e a OUES foi elevada (r = 0,747; p < 0,0001). A correlação entre DIN e VO2pico (r = 0,734; p < 0,0001) foi mais expressiva do que com aquela entre DIN e OUES (r = 0,453; p < 0,05). Resultados semelhantes ocorreram em relação às correlações de VO2pico e OUES com PImáx. Houve correlação significativa entre VO2pico e LACpico (r = −0,731; p < 0,0001), mas essa só ocorreu entre OUES e LACpico/potência máxima (r = −0,605; p = 0,004). Conclusões: Nossos resultados sugerem que, na DPOC leve/moderada, determinantes do VO2, além da força muscular global, têm um maior impacto na OUES do que no VO2pico.
Palavras-chave:
Testes de função respiratória; Doença pulmonar obstrutiva crônica; Força muscular; Consumo de oxigênio.
IntroduçãoA DPOC é uma das principais causas de morbidade e mortalidade ao redor do mundo, causando importante morbidade osteomuscular e redução da qualidade de vida.(1) Entre os principais métodos de avaliação e seguimento da eficácia do tratamento da DPOC estão a avaliação da capacidade de exercício e a avaliação da força muscular respiratória e periférica.(1) O teste de exercício cardiopulmonar (TECP) é um dos métodos mais importantes nesse contexto, pois integra uma análise cardiopulmonar e metabólica ampla, como o consumo de oxigênio (VO2) e as trocas gasosas; porém, algumas variáveis úteis foram muito pouco estudadas na DPOC, como a eficiência na captação de oxigênio.
A eficiência na captação do oxigênio, ou seja, o quanto se atinge um determinado VO2 para uma determinada demanda ventilatória, pode ser avaliada por dois modos, a saber: pela eficiência na captação do oxigênio propriamente dita, medida através da razão entre VO2 e ventilação minuto (VE), ou pela sua derivada, através da transformação logarítmica da VE (log10VE), chamada de oxygen uptake efficiency slope (OUES, inclinação da eficiência do consumo de oxigênio), proposta por Baba et al.(2) Mais recentemente, descreveu-se outra forma de avaliar a relação entre o VO2 e a VE: o platô da eficiência do consumo de oxigênio.(3)
A OUES pode ser importante para avaliar a capacidade aeróbica a partir de dados submáximos após a intervenção farmacológica ou não farmacológica em pacientes mais limitados. A imposição de esforço máximo no TECP pode ser imprecisa, com riscos e desconforto aumentados. Além disso, a DPOC em estágio I/II se sobrepõe muitas vezes a outras doenças, como insuficiência cardíaca, diabetes e doença vascular periférica, cuja avaliação da capacidade máxima também fica comprometida por múltiplas comorbidades.(4)
Dessa forma, a OUES foi razoavelmente estudada em indivíduos normais e adultos com insuficiência cardíaca.(5,6) Entretanto, houve apenas um estudo em pacientes com DPOC,(7) que focou o impacto da hiperinsuflação dinâmica (HD) na redução da OUES, sem avaliar o papel da força muscular nesse contexto. Assim, partindo-se do princípio de que a OUES é uma relação independente do esforço máximo, os autores sugeriram que a HD tem um importante papel na redução do débito cardíaco (avaliado indiretamente pelo pulso de oxigênio) e na perfusão periférica, sendo a causa principal da redução da OUES, desconsiderando-se o papel da força muscular global.(7)
A OUES depende do desenvolvimento de acidose metabólica, da massa muscular, da extração e utilização de oxigênio e do espaço morto fisiológico pulmonar, que é afetado pela perfusão pulmonar e sua integridade estrutural.(8) Embora tenha sido sugerido que a relação entre força muscular e OUES dependa da massa muscular, tal relação, até onde pudemos averiguar, nunca foi estudada.
A máxima resposta metabólica ao TECP depende do protocolo de exercício, incentivo, tipo de ergômetro, força muscular periférica e força muscular respiratória.(8,9) A força muscular (global) é mais preservada em estágios iniciais da DPOC.(9,10) Nesse sentido, torna-se válido perguntar em que medida essa função muscular mais preservada, sob menor influência limitante da HD na doença leve/moderada,(11) poderia ser determinante da máxima resposta metabólica, avaliada tanto pelo nível de lactato como pelo VO2 de pico (VO2pico), em comparação a uma variável submáxima descrita na literatura como independente do esforço máximo, ou seja, OUES.
O objetivo do presente estudo foi estudar uma população ambulatorial de portadores de DPOC em estágio I e II, segundo critérios da Global Initiative for Chronic Obstructive Lung Disease (GOLD), para conhecer alguns aspectos do comportamento dessa variável fisiológica (OUES) frente ao padrão ouro (VO2pico). A seleção desses pacientes visou evitar os efeitos acentuados da HD, presentes nos pacientes graves em seu perfil cardiocirculatório. Como hipótese, considerando-se que a eficiência do VO2 é uma variável que depende menos do esforço máximo durante o exercício para sua avaliação, haveria uma menor correlação dessa com parâmetros de força muscular de repouso (periférica e respiratória) e níveis máximos de lactato.
MétodosEstudo prospectivo transversal para o qual foram recrutados pacientes de um ambulatório especializado em DPOC e de um ambulatório de tabagismo quando referidos para espirometria, com diagnóstico de DPOC em estágio I/II, baseado nos critérios do GOLD,(1) com relação VEF1/CVF após o uso de broncodilatador < 70% do previsto e VEF1 > 50% do previsto, baseados em valores de referência nacionais.(12)
Os critérios de seleção dos pacientes foram os seguintes: ter idade 40 anos, ter história de tabagismo ou fumo atual 10 maços-ano, estar livres de exacerbações nas quatro semanas anteriores aos testes, ser capaz de realizar testes de esforço, ser apto do ponto de vista cardiovascular e metabólico para os mesmos e não apresentar doença isquêmica coronariana/periférica, diabetes, hipotireoidismo, hipertireoidismo, doença reumática, doença neurológica, asma, déficit cognitivo ou apneia obstrutiva do sono, assim como não utilizar betabloquedores no controle de hipertensão arterial sistêmica leve. Todos os pacientes leram e assinaram o termo de consentimento livre e esclarecido. O protocolo do estudo foi aprovado pelo Comitê de Ética em Pesquisas em Seres Humanos da Universidade Federal de Mato Grosso do Sul.
Os pacientes foram devidamente esclarecidos sobre todos os testes e foram submetidos, na primeira visita, a exame físico; coleta de dados antropométricos, histórico de morbidades e medicamentos utilizados; espirometria; medida de volumes pulmonares e pressões respiratórias máximas; dinamometria; e, por último, gasometria arterial, com intervalos adequados entre os exames para evitar fadiga muscular e/ou desconforto. Na segunda visita, foi realizado TECP, com coleta de sangue capilar antes e após o teste. A espirometria e a prova broncodilatadora foram realizadas conforme diretrizes nacionais,(13) com um espirômetro MasterScreen PFT (Jaeger, Würzburg, Alemanha). Na prova broncodilatadora, utilizou-se 400 µg de salbutamol inalatório. Os volumes pulmonares foram determinados, com o mesmo aparelho, pela técnica de diluição de hélio por respirações múltiplas, em circuito fechado, para o cálculo da capacidade residual funcional de acordo com as diretrizes e valores de referência nacionais.(13,14)
A medida das pressões respiratórias máximas foi realizada conforme diretrizes nacionais(13) com um manovacuômetro digital, modelo MVD 300 (Globalmed, Porto Alegre, Brasil), com leitura e armazenamento dos sinais através de ductos individuais e precisão de medida de 1 cmH2O. Um orifício de 2 mm no circuito impedia falsas medidas por contrações involuntárias das bochechas. Os resultados eram fornecidos em cmH2O, e os gráficos obtidos davam uma ideia da qualidade do exame. Cada paciente realizava 2-3 medidas para familiarizar-se com o exame e depois realizava as manobras idealmente. Os valores previstos foram os de Neder et al.(15)
Para a medida da força de contração voluntária máxima por preensão, utilizou-se um dinamômetro (Jamar; Preston, Jackson, MI, EUA). Os indivíduos foram posicionados sentados, com o braço aduzido paralelo ao tronco, cotovelo fletido a 90° e antebraço e punho em posição neutra. Foram realizadas três medições, com intervalo mínimo de 1 min entre as mesmas, alternadas entre os lados dominante e não dominante; o maior valor foi anotado.(16) Valores de referência para a população brasileira foram derivados de Novaes et al.(17) Para a medida dos gases sanguíneos e do pH do sangue arterial, foi utilizado o analisador de gases ABL 5 (Radiometer, Copenhagen, Dinamarca) em condições anaeróbias, por punção da artéria radial, segundo recomendações internacionais.(18)
Para realizar o TECP, utilizamos os critérios e protocolos indicados em diretrizes nacionais.(13) O teste foi realizado em um sistema metabólico (Oxycon Delta system; Jaeger, Würzburg, Alemanha) com câmara de mistura para ergoespirometria proporcional. O sistema, conectado a um programa (OxyconLAB; Jaeger) e a uma bicicleta ergométrica (ER 900; ergoline GmbH., Bitz, Alemanha), com frenagem eletromagnética, tinha carga e protocolo gerados no programa referido. A calibragem era feita antes de cada exame, conforme protocolos do fabricante, e a calibragem biológica era realizada a cada três meses. O VO2pico foi considerado como a média dos últimos 15 s no pico do exercício e foi estipulado como a máxima tolerância, limitada por sintomas, a falta de ar não suportável ou fadiga nas pernas que impedissem a pedalagem a uma ciclagem > 50 ciclos/min. A ventilação voluntária máxima (VVM) foi estimada pelo produto VEF1 × 37,5.(15) O limiar anaeróbio (LA) foi determinado conforme o método V-slope.(19) O protocolo de teste tipo incremental em rampa foi individualizado, baseado na fórmula de Wasserman para incremento da carga e baseada no consumo máximo de oxigênio (VO2máx) previsto,(20) sendo o valor previsto baseado nos valores nacionais de Neder et al.(21) A dosagem do lactato baseou-se em fotometria de reflexão de lactato (660 nm) em sangue da ponta do dedo, mensurado em um sistema portátil (Accutrend Lactate; Roche, Mannhein, Alemanha).
Os resultados foram expressos como média ± dp, e foram realizados testes para avaliar a normalidade de distribuição dos dados pelo método de Kolmogorov-Smirnov. Correlações entre as variáveis foram realizadas pelo coeficiente de correlação de Pearson. Para calcular a OUES, foi feita uma transformação logarítmica do VE (log10VE) e realizada uma análise de regressão simples:
VO2 = a × logVE + b
onde "a" representa OUES em L e "b" é uma constante.
Foi usado o período inteiro de exercício para esse cálculo, uma vez que foi mostrado que a transformação logarítmica da VE reduz a curvatura devido à onda anaeróbica.(2) A máxima resposta metabólica foi medida pelo VO2pico e pela razão entre o nível máximo de lactato no pico do exercício, em mM, e a potência máxima, em W. A potência máxima foi utilizada para corrigir possíveis influências de gênero na capacidade aeróbia.
ResultadosOs resultados das variáveis antropométricas, de espirometria, volumes pulmonares, força muscular e gasometria da população estudada são mostrados na Tabela 1. A amostra envolveu 21 pacientes (15 homens) com média de idade de 60,7 ± 7,8 anos. Os volumes pulmonares e a força muscular periférica e respiratória (ambos em % do previsto) se mostraram dentro dos limites previstos de normalidade, assim como PaO2 e PaCO2 em repouso.

A média dos valores metabólicos, ventilatórios e hemodinâmicos selecionados no pico do exercício são mostrados na Tabela 2. Os valores de VO2pico, potência máxima e FC máxima, todos em % do previsto, foram compatíveis com uma população com DPOC leve/moderada. Apenas 2 pacientes apresentaram queda de SpO2 > 4% durante o exercício, e 7 pacientes mostraram indícios de limitação ventilatória, sendo 1 paciente do sexo feminino (VE/VVM > 0,75) e 6 do sexo masculino (VE/VVM > 0,85).

Em somente 1 paciente (VEF1 = 51,2% do previsto) não foi possível determinar o limiar anaeróbio (LA), sendo que o VO2 no LA foi, em média, 1,1 ± 0,3 L/min para os demais indivíduos, e sua correlação com OUES foi inusitadamente elevada (r = 0,899; p < 0,0001) para os demais 20 pacientes. A OUES apresentou elevada correlação com o VO2pico (r = 0,747; p < 0,0001) e, apesar de não termos valores de referência no Brasil, encontra-se compatível com valores de normalidade descritas em um estudo,(21) cuja média foi de 99,4 ± 24,4% do valor previsto.
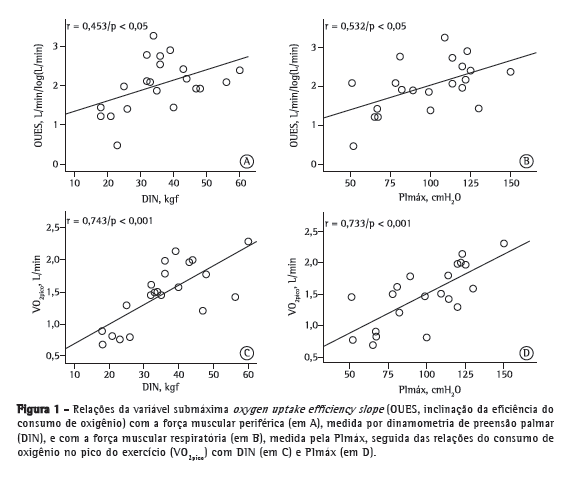
A Tabela 3 detalha os coeficientes de correlação entre as variáveis selecionadas de repouso/exercício e força muscular periférica/respiratória para a população estudada. Verificamos nessa tabela que, em geral, as variáveis de OUES isolada e OUES indexada pelo peso, respectivamente, se correlacionaram de maneira mais fraca com a força muscular periférica (r = 0,453; p < 0,05; e r = 0,345; p > 0,05) e com PImáx (r = 0,532 e r = 0,454; p < 0,05 para ambos), em comparação com o VO2pico e VO2pico indexado pelo peso, respectivamente, quando correlacionados com a força muscular periférica (r = 0,734; p < 0,0001; e r = 0,641; p < 0,01) e com PImáx (r = 0,733; p < 0,0001; e r = 0,681; p < 0,01), representados na Figura 1.


O nível de lactato no pico do exercício não apresentou uma correlação significativa com a OUES, mas essa correlação foi significativa e negativa quando corrigida para a potência máxima no exercício (r = −0,605; p = 0,004; Figura 2), assim como a correlação entre esse e VO2pico (r = −0,720; p < 0,0001; Figura 2).

Destacamos ainda a correlação moderada entre a força de preensão palmar e pulso de oxigênio no pico do exercício (r = 0,653; p < 0,01; Tabela 3) e entre esse e PImáx (r = 0,585; p < 0,01; Tabela 3).
DiscussãoO principal resultado do presente estudo sugere que o VO2pico em pacientes com DPOC em estágios leve e moderado correlaciona-se melhor com a força muscular periférica e respiratória do que com a OUES. Além disso, a OUES mostrou valores, em média, normais para esse grupo de pacientes com DPOC leve/moderado, apesar de um terço deles terem mostrado algum grau de limitação ventilatória durante o exercício cicloergométrico. O presente estudo também reproduz resultados de estudos anteriores, que indicaram uma capacidade aeróbica (VO2pico) preservada, em geral, para esses pacientes.(22)
A OUES apresenta algumas vantagens na sua utilização em indivíduos saudáveis e doentes, por várias razões: (i) não se encontram diferenças significativas na dependência do tipo de ergômetro utilizado (cicloergômetro ou esteira)(3); (ii) a variável submáxima VO2 no LA mostrou um coeficiente de variabilidade muito elevado em estudos de reprodutibilidade, além de ser dependente do tipo de método utilizado para seu cálculo(8); (iii) a OUES pode ser obtida com esforço submáximo, apresentando elevada concordância com VO2pico(8,23,24); e (iv) a OUES mostrou-se mais estável e reprodutível do que VO2pico, em especial após treinamento e reabilitação.(8) Faltam, no entanto, mais estudos em pacientes com DPOC.
Quanto à correlação da OUES com VO2pico, nosso estudo está de acordo com uma revisão recente sobre a OUES; nos diferentes estudos, o coeficiente de correlação variou de 0,72 a 0,96.(8) No entanto, a inesperada forte correlação entre VO2 no LA e a OUES em nosso estudo está em desacordo com aquela revisão, que mostrou uma variação de coeficiente de correlação entre os estudos de 0,66 a 0,78.(8) Entre as possíveis causas para essa diferença estão o tipo de doença estudada, o número de indivíduos da população clínica e o critério para se determinar VO2 no LA. Nesse aspecto, a OUES, como medida submáxima, tem a vantagem sobre VO2 no LA de refletir tanto os efeitos da acidose metabólica como os do espaço morto pulmonar fisiológico, ao contrário do VO2 no LA, que reflete prioritariamente a distribuição do fluxo sanguíneo para os músculos em exercício.(2)
A OUES nos fornece uma estimativa da eficiência da ventilação em relação ao VO2, com valores de inclinação maiores, indicando uma maior eficiência ventilatória. Na realidade, a OUES reflete a taxa absoluta de incremento do VO2 para um aumento de 10 vezes na ventilação.(25) O incremento da ventilação em pacientes com DPOC leve/moderada também é limitado por HD.(26,27) Como a demanda ventilatória elevada é um dos determinantes da HD, é razoável aceitar que uma proporção dos pacientes no presente estudo tenha apresentado HD durante o exercício, pois 33% dos pacientes apresentaram evidências de limitação ventilatória, com uma razão VE/VVM > 0,75, o que poderia causar teoricamente algum efeito de redução do retorno venoso, piorando a já comprometida distribuição desigual da ventilação, como foi sugerido mesmo em pacientes com DPOC leve.(26) Isso poderia gerar uma ineficiência ventilatória desproporcional à força muscular relativamente preservada desse grupo de pacientes. Porém, não acreditamos que esse efeito tenha sido importante nesse grupo de pacientes, pois, em média, a OUES ficou dentro dos limites da normalidade, e apenas 1 paciente apresentou pulso de oxigênio < 80% do valor previsto. Portanto, uma possível HD em alguns indivíduos desse grupo de pacientes provavelmente não comprometeu a OUES de maneira importante, ao contrário do que foi evidenciado em pacientes com DPOC moderada/grave, nos quais a HD causou uma significativa redução da OUES.(7)
Apesar da alta correlação entre os níveis de lactato no pico do exercício e variáveis como VO2pico e potência máxima, no presente estudo, não observamos uma correlação significativa entre os níveis de lactato máximo e a OUES. Isso pode ter ocorrido por duas razões principais: (i) como a OUES é uma variável submáxima, essa pode representar um sistema linear independente, como foi demonstrado para outras variáveis submáximas, como a variável tau na análise do déficit de oxigênio e o ganho primário da eficiência aeróbia (VO2/potência) no teste de carga constante, tendo sido essas variáveis independentes dos níveis máximos de lactato alcançados(28); e (ii) a OUES pode ser significativamente menor nas mulheres.(29) Essa última possibilidade fica fortalecida quando se ajusta o nível de lactato no pico do exercício para a potência máxima, pois ocorre uma importante correlação desse parâmetro com a OUES, indicando que a capacidade oxidativa dos músculos ajustada para a carga, na máxima taxa metabólica do exercício, reflete de maneira importante a eficiência da captação de oxigênio pelos pulmões. O número pequeno de pacientes do sexo feminino e masculino não nos permite fazer uma análise em separado da possível causa dessa diferença.
A correlação entre força muscular periférica (preensão palmar) e SpO2 no pico do exercício, em nosso estudo, está de acordo com resultados encontrados por Celli et al.(30) em pacientes com DPOC mais grave (moderada/grave) no pico do exercício. Esses autores também encontraram uma correlação significativa entre a força muscular e o pulso de oxigênio em repouso, sugerindo uma relação mais direta entre a perda de função muscular periférica e perda de função muscular cardíaca. Apesar de pacientes mais graves, o referido estudo obteve resultados de pulso de oxigênio superiores aos nossos (10,6 ± 3,7 mL/batimento cardíaco vs. 9,1 ± 2,8 mL/batimento cardíaco) e força de preensão palmar igualmente maior em média (37,8 ± 7,5 kgf vs. 35,5 ± 11,6 kgf), o que pode ser imputado em parte pela inclusão somente de pacientes do sexo masculino naquele estudo.
Como limitação do presente estudo, apontamos o número pequeno de sujeitos na amostra clínica, em parte justificada pela dificuldade de se obter pacientes em estágio inicial da doença para o estudo. Outra limitação é o tipo de força muscular periférica estudada. Apesar de haver uma correlação controversa entre a força muscular aferida por dinamometria palmar e aquela aferida por dinamometria isocinética de membros inferiores, a força muscular de membros superiores é mais preservada em pacientes com DPOC e não reflete bem o possível impacto dos diversos fatores etiológicos envolvidos na perda de função muscular. Apesar disso, as alterações dos músculos de membros superiores limitam atividades de vida diária nesses pacientes, estão envolvidas em ajustes ventilatórios, e, para igual taxa de trabalho, a ventilação e o VO2 são geralmente maiores para exercícios dos braços do que para os das pernas.(10) A ausência da técnica isocinética em nosso laboratório limitou a avaliação dos membros inferiores. Também reconhecemos que a inclusão do sexo feminino no estudo gerou um desafio na análise dos resultados. Sabe-se, no entanto, que o padrão respiratório no exercício incremental em indivíduos sadios do sexo feminino tem um padrão respiratório mais taquipneico, e, portanto, gera maior ineficiência ventilatória em níveis submáximos de exercício.(20) São necessários mais estudos para se saber se, no sexo feminino, uma maior ineficiência ventilatória ao nível submáximo de exercício é acompanhada de uma menor eficiência na captação do oxigênio a esse nível.
Concluímos, a partir do presente estudo, que a OUES apresenta, quando comparada ao VO2pico, correlações mais fracas com a força muscular periférica e a força muscular respiratória em pacientes com DPOC leve/moderada. Isso sugere, com base na elevada correlação da OUES com o VO2pico, que a OUES seja uma variável fisiológica mais dependente de outros determinantes do VO2, como as trocas gasosas e a perfusão pulmonar, e menos dependente da força muscular basal dos indivíduos.
Referências1. Rabe KF, Hurd S, Anzueto A, Barnes PJ, Buist SA, Calverley P, et al. Global strategy for the diagnosis, management, and prevention of chronic obstructive pulmonary disease: GOLD executive summary. Am J Respir Crit Care Med. 2007;176(6):532-55. PMid:17507545. http://dx.doi.org/10.1164/rccm.200703-456SO
2. Baba R, Nagashima M, Goto M, Nagano Y, Yokota M, Tauchi N, et al. Oxygen uptake efficiency slope: a new index of cardiorespiratory functional reserve derived from the relation between oxygen uptake and minute ventilation during incremental exercise. J Am Coll Cardiol. 1996;28(6):1567-72. http://dx.doi.org/10.1016/S0735-1097(96)00412-3
3. Sun XG, Hansen JE, Stringer WW. Oxygen uptake efficiency plateau: physiology and reference values. Eur J Appl Physiol. 2012;112(3):919-28. PMid:21695524. http://dx.doi.org/10.1007/s00421-011-2030-0
4. Lindberg A, Larsson LG, Rönmark E, Lundbäck B. Co-morbidity in mild-to-moderate COPD: comparison to normal and restrictive lung function. COPD. 2011;8(6):421-8. PMid:22149402. http://dx.doi.org/10.3109/15412555.2011.629858
5. Van Laethem C, Bartunek J, Goethals M, Nellens P, Andries E, Vanderheyden M. Oxygen uptake efficiency slope, a new submaximal parameter in evaluating exercise capacity in chronic heart failure patients. Am Heart J. 2005;149(1):175-80. PMid:15660050. http://dx.doi.org/10.1016/j.ahj.2004.07.004
6. Arena R, Myers J, Abella J, Peberdy MA, Bensimhon D, Chase P, et al. The influence of body mass index on the oxygen uptake efficiency slope in patients with heart failure. Int J Cardiol. 2008;125(2):270-2. PMid:18234369. http://dx.doi.org/10.1016/j.ijcard.2007.11.013
7. Tzani P, Aiello M, Elia D, Boracchia L, Marangio E, Olivieri D, et al. Dynamic hyperinflation is associated with a poor cardiovascular response to exercise in COPD patients. Respir Res. 2011;12:150. PMid:22074289. PMCid:3225311. http://dx.doi.org/10.1186/1465-9921-12-150
8. Akkerman M, van Brussel M, Hulzebos E, Vanhees L, Helders PJ, Takken T. The oxygen uptake efficiency slope: what do we know? J Cardiopulm Rehabil Prev. 2010;30(6):357-73. PMid:20724931.
9. Miranda EF, Malaguti C, Corso SD. Peripheral muscle dysfunction in COPD: lower limbs versus upper limbs. J Bras Pneumol. 2011;37(3):380-8. PMid:21755195. http://dx.doi.org/10.1590/S1806-37132011000300016
10. Skeletal muscle dysfunction in chronic obstructive pulmonary disease. A statement of the American Thoracic Society and European Respiratory Society. Am J Respir Crit Care Med. 1999;159(4 Pt 2):S1-40. PMid:10194189.
11. Freitas CG, Pereira CA, Viegas CA. Inspiratory capacity, exercise limitation, markers of severity, and prognostic factors in chronic obstructive pulmonary disease. J Bras Pneumol. 2007;33(4):389-96. PMid:17982530. http://dx.doi.org/10.1590/S1806-37132007000400007
12. Pereira CA, Sato T, Rodrigues SC. New reference values for forced spirometry in white adults in Brazil. J Bras Pneumol. 2007;33(4):397-406. PMid:17982531. http://dx.doi.org/10.1590/S1806-37132007000400008
13. Sociedade Brasileira de Pneumologia e Tisiologia. Diretrizes para Testes de Função Pulmonar. J Pneumol. 2002;28(Suppl 3):S1-S238.
14. Neder JA, Andreoni S, Castelo-Filho A, Nery LE. Reference values for lung function tests. I. Static volumes. Braz J Med Biol Res. 1999;32(6):703-17. PMid:10412549.
15. Neder JA, Andreoni S, Lerario MC, Nery LE. Reference values for lung function tests. II. Maximal respiratory pressures and voluntary ventilation. Braz J Med Biol Res. 1999;32(6):719-27. http://dx.doi.org/10.1590/S0100-879X1999000600007
16. Caporrino FA, Faloppa F, Santos JB, Réssio C, Soares FH, Nakachima LR, et al. Estudo populacional da força de preensão palmar com dinamômetro Jamar. Rev Bras Ortop Traumatol. 1998;33(2):150-4.
17. Novaes RD, Miranda AS, Silva JO, Tavares BV, Dourado VZ. Equações de referência para a predição da força de preensão manual em brasileiros de meia idade e idosos. Fisioter Pesq. 2009;16(3):217-22. http://dx.doi.org/10.1590/S1809-29502009000300005
18. Clinical and Laboratory Standards Institute. Blood gas and pH analysis and related measurements; approved guideline. Wayne: Clinical and Laboratory Standards Institute; 2001.
19. Beaver WL, Wasserman K, Whipp BJ. A new method for detecting anaerobic threshold by gas exchange. J Appl Physiol. 1986;60(6):2020-7. PMid:3087938.
20. Neder JA, Nery LE, editors. Fisiologia Clínica do Exercício. Teoria e Prática. São Paulo: Artes Médicas; 2003.
21. Neder JA, Nery LE, Castelo A, Andreoni S, Lerario MC, Sachs A, et al. Prediction of metabolic and cardiopulmonary responses to maximum cycle ergometry: a randomised study. Eur Respir J. 1999;14(6):1304-13. PMid:10624759. http://dx.doi.org/10.1183/09031936.99.14613049
22. Pinto-Plata VM, Celli-Cruz RA, Vassaux C, Torre-Bouscoulet L, Mendes A, Rassulo J, et al. Differences in cardiopulmonary exercise test results by American Thoracic Society/European Respiratory Society-Global Initiative for Chronic Obstructive Lung Disease stage categories and gender. Chest. 2007;132(4):1204-11. PMid:17934113. http://dx.doi.org/10.1378/chest.07-0593
23. Hollenberg M, Tager IB. Oxygen uptake efficiency slope: an index of exercise performance and cardiopulmonary reserve requiring only submaximal exercise. J Am Coll Cardiol. 2000;36(1):194-201. http://dx.doi.org/10.1016/S0735-1097(00)00691-4
24. Mueller PT, Bollmann T, Gläser S, Czekay S, Kähler C, Ewert R. VO2 Kinetik und VO2 Effizienz slope bei Patienten mit Idiopathischer Pulmonaler Arterieller Hypertonie (IPAH). Pneumologie. 2011;65:P388. http://dx.doi.org/10.1055/s-0031-1272107
25. Baba R. The oxygen uptake efficiency slope and its value in the assessment of cardiorespiratory functional reserve. Congest Heart Fail. 2000;6(5):256-8. PMid:12189286. http://dx.doi.org/10.1111/j.1527-5299.2000.80164.x
26. Ofir D, Laveneziana P, Webb KA, Lam YM, O'Donnell DE. Mechanisms of dyspnea during cycle exercise in symptomatic patients with GOLD stage I chronic obstructive pulmonary disease. Am J Respir Crit Care Med. 2008;177(6):622-9. PMid:18006885. http://dx.doi.org/10.1164/rccm.200707-1064OC
27. Babb TG, Viggiano R, Hurley B, Staats B, Rodarte JR. Effect of mild-to-moderate airflow limitation on exercise capacity. J Appl Physiol. 1991;70(1):223-30. PMid:2010380.
28. Barstow TJ, Casaburi R, Wasserman K. O2 uptake kinetics and the O2 deficit as related to exercise intensity and blood lactate. J Appl Physiol. 1993;75(2):755-62. PMid:8226479.
29. Pogliaghi S, Dussin E, Tarperi C, Cevese A, Schena F. Calculation of oxygen uptake efficiency slope based on heart rate reserve end-points in healthy elderly subjects. Eur J Appl Physiol. 2007;101(6):691-6. PMid:17717680. http://dx.doi.org/10.1007/s00421-007-0545-1
30. Cortopassi F, Divo M, Pinto-Plata V, Celli B. Resting handgrip force and impaired cardiac function at rest and during exercise in COPD patients. Respir Med. 2011;105(5):748-54. PMid:21251806. http://dx.doi.org/10.1016/j.rmed.2010.12.011
Trabalho realizado na Universidade Federal de Mato Grosso do Sul, Campo Grande (MS) Brasil.
Endereço para correspondência: Paulo de Tarso Guerrero Müller. Avenida Filinto Müller, s/n, Campus da Universidade Federal de Mato Grosso do Sul, Faculdade de Medicina, Vila Ipiranga, CEP 79070-900, Campo Grande, MS, Brasil.
Tel. 55 67 3345-3149 ou 55 67 9291-0441.E-mail: paulo.muller@ufms.br
Apoio financeiro: Nenhum.
Recebido para publicação em 8/3/2012. Aprovado, após revisão, em 15/8/2012.
Sobre os autoresPaulo de Tarso Guerrero Müller
Professor. Faculdade de Medicina, Universidade Federal de Mato Grosso do Sul, Campo Grande (MS) Brasil.
Carlos Alberto de Assis Viegas
Professor. Faculdade de Medicina, Universidade de Brasília, Brasília (DF) Brasil.
Luiz Armando Pereira Patusco
Professor. Faculdade de Medicina, Universidade Federal de Mato Grosso do Sul, Campo Grande (MS) Brasil.