Continuous and bimonthly publication
ISSN (on-line): 1806-3756

Licença Creative Commons
16075
Views
Back to summary
Open Access Peer-Reviewed
Original Article

Validação de um protocolo para o teste de caminhada de seis minutos em esteira para avaliação de pacientes com hipertensão arterial pulmonar

Validation of a treadmill six-minute walk test protocol for the evaluation of patients with pulmonary arterial hypertension

Viviane Moreira de Camargo, Barbara do Carmo dos Santos Martins, Carlos Jardim, Caio Julio Cesar Fernandes, Andre Hovnanian, Rogério Souza

ABSTRACT

Objective: To develop and validate a protocol for the treadmill six-minute walk test (tread6MWT) to evaluate patients with pulmonary arterial hypertension (PAH). Methods: The study population comprised 73 patients with PAH, diagnosed by means of right heart catheterization, with or without NO inhalation. All patients performed a hallway 6MWT and three tread6MWTs based on a pre-determined incremental speed protocol and interposed by a rest period. The patients who had been submitted to hemodynamic testing using NO performed the third tread6MWT while inhaling the same dose of NO that had been used during the catheterization. Results: We found that the treadmill six-minute walk distance (tread6MWD) correlated with hemodynamic data, functional class and the hallway six-minute walk distance (6MWD). In addition, the tread6MWD correlated significantly with survival, thereby confirming the correlation with disease severity. Inhalation of NO during the tread6MWT led to variations that were consistent with the hemodynamic changes induced by the same dose of inhaled NO, suggesting that the protocol developed can reflect the effect of therapeutic interventions. Conclusions: We conclude that the tread6MWD is a useful prognostic and functional marker for the routine evaluation of PAH patients.

Keywords: Hypertension, pulmonary; Exercise test; Hemodynamics.

RESUMO

Objetivo: Elaborar e validar um protocolo para teste de caminhada de seis minutos em esteira (TC6est) para a avaliação de pacientes com hipertensão arterial pulmonar (HAP). Métodos: A população do estudo foi composta por 73 pacientes com HAP diagnosticados através de cateterismo cardíaco direito, com ou sem inalação de NO. Todos os pacientes realizaram um TC6 em solo e três TC6est baseados em um protocolo de incremento de velocidade pré-determinado e intercalados por um período de repouso. Os pacientes que haviam realizado o teste hemodinâmico com inalação de NO realizaram o terceiro TC6est com a inalação da mesma dose de NO utilizada durante o cateterismo. Resultados: Os resultados mostraram uma correlação da distância caminhada no TC6est com os dados hemodinâmicos, assim como com a classe funcional e com a distância caminhada no solo. Além disso, a distância percorrida no TC6est apresentou uma correlação significativa com a sobrevida, confirmando, portanto, sua correlação com a gravidade da doença. A inalação de NO durante o TC6est levou a variações compatíveis com as variações hemodinâmicas frente à mesma dose de NO, sugerindo que o protocolo em questão pode refletir o efeito de intervenções terapêuticas. Conclusões: Concluímos que a distância percorrida no TC6est é um marcador funcional e prognóstico na avaliação de rotina de pacientes com HAP.

Palavras-chave: Hipertensão pulmonar; Teste de esforço; Hemodinâmica.

Introdução

Nos últimos anos, observou-se um crescente avanço no conhecimento fisiopatológico da hipertensão arterial pulmonar (HAP).(1) O decorrente avanço terapêutico da HAP trouxe consigo a necessidade de medidas objetivas que permitissem avaliar a eficácia das diferentes classes medicamentosas existentes e em desenvolvimento.(2)

Nos ensaios clínicos, o teste de caminhada de seis minutos (TC6) foi o marcador funcional mais utilizado, por ser um teste simples que se correlaciona com as variáveis hemodinâmicas e com os resultados obtidos no teste cardiopulmonar de esforço, além de apresentar valor prognóstico em pacientes com HAP.(3,4) O TC6 necessita ser realizado em um corredor de aproximadamente 30 m de extensão, plano e livre de tráfego de pessoas, o que acaba por limitar seu uso rotineiro em vários serviços. O uso de distâncias menores diminui a reprodutibilidade do teste, entre outros motivos, pelo aumento no número de curvas as quais o paciente é submetido.(5)

Uma variação do TC6 é a sua realização em esteira, permitindo que a avaliação física possa continuar sendo simples, através do ato de caminhar, sem a limitação imposta pela necessidade de um corredor amplo e livre e/ou quando houver a necessidade de uma ­intervenção aguda ou de monitorização mais fina das variáveis fisiológicas. A comparação do TC6 em esteira (TC6est) com o TC6 realizado no solo, em pacientes portadores de DPOC, evidenciou que o TC6est, embora não comparável em termos de distância percorrida ao TC6 realizado em solo, é uma alternativa satisfatória na avaliação funcional dos pacientes com DPOC.(6) Vários fatores, porém, devem ser considerados para a realização do TC6est, tais como desenvolver ou não um protocolo de aumento de velocidade e da inclinação da esteira, ou ainda deixar o ajuste da velocidade a critério do paciente ou do técnico responsável pelo exame.

Até o momento, não há relatos sobre a realização de protocolos para TC6est em pacientes portadores de HAP. O objetivo desse estudo foi validar um protocolo para TC6est na avaliação de pacientes com HAP.

Métodos

Foram incluídos 73 pacientes portadores de HAP, sem uso prévio de qualquer medicamento específico, acompanhados no Ambulatório de Circulação Pulmonar do Instituto do Coração do Hospital das Clínicas da Faculdade de Medicina da Universidade de São Paulo, no período entre abril de 2003 e janeiro de 2007. A investigação diagnóstica da HAP foi realizada de acordo com as diretrizes brasileiras para o manejo da HAP,(7) sempre com a confirmação invasiva através de cateterismo cardíaco direito.

O protocolo de estudo foi aprovado pelo Comitê de Ética em Pesquisa do Hospital das Clínicas da Faculdade de Medicina da Universidade de São Paulo.

O protocolo foi realizado em duas etapas:

 Etapa preliminar (estudo piloto), em que foi determinada a curva de aprendizado do protocolo do TC6est, na qual foram incluídos 14 pacientes;

 Etapa de estudo, quando os pacientes foram divididos em dois grupos, de acordo com a realização ou não do teste agudo com NO durante o cateterismo cardíaco direito durante a investigação inicial.
Foram incluídos 59 pacientes nesta etapa, sendo 39 pacientes no subgrupo que realizou teste agudo com NO (grupo com NO) e 20 pacientes no subgrupo não submetido ao teste agudo (grupo sem NO).

Para a análise global do estudo, os pacientes que participaram da etapa preliminar foram incluídos no grupo sem NO; desta forma, a amostra total do estudo foi de 73 pacientes, 39 no grupo com NO e 34 no grupo sem NO, conforme apresentado no algoritmo (Figura 1).



A avaliação hemodinâmica foi realizada com todos os pacientes respirando uma concentração de oxigênio de 24%, através de um sistema de máscara de Venturi (Hudson, Durham, NC, EUA) na posição supina. Um cateter de artéria pulmonar de 7F (Baxter Health Corporation, Irvine, CA, EUA) foi introduzido em todos os pacientes. O débito cardíaco foi medido através da técnica de termodiluição. Foi considerada como critério mínimo para o diagnóstico de HAP a presença de pressão média da artéria pulmonar superior a 25 mmHg, com pressão de oclusão da artéria pulmonar inferior a 15 mmHg, caracterizando assim o acometimento pré-capilar.(8)

O teste agudo com vasodilatador foi realizado na subpopulação de pacientes com HAP idiopática que nunca o haviam realizado e no subgrupo de pacientes com esquistossomose, através da inalação de NO na concentração de 40 ppm, acrescido ao oxigênio do sistema de Venturi por um período de 10 min; após estabilização, novas medidas hemodinâmicas eram realizadas para a avaliação da resposta.(9,10) A opção pelo sistema de Venturi para o aparato de administração de NO se deveu à necessidade de se garantir uma fração inspirada menos variável dos gases, mesmo em situações com aumento do volume minuto, que estaria presente durante o teste de exercício com NO.

Definiram-se como respondedores os pacientes que apresentaram, durante a inalação de NO, uma redução da pressão média da artéria pulmonar de pelo menos 10 mmHg, atingindo valores inferiores a 40 mmHg, com manutenção ou aumento do débito cardíaco.(9,10)

A avaliação da capacidade funcional foi realizada através do TC6 no solo, da classe funcional e do TC6est.

O TC6 foi realizado seguindo as recomendações da American Thoracic Society,(5) sendo a distância caminhada anotada independentemente de paradas durante o teste.

A estratificação funcional dos pacientes foi realizada através da classificação da New York Heart Association,(7,8) modificada para HAP.

Para a realização do TC6est, o paciente teve que caminhar em uma esteira (Medtrack ST; Quinton, Seattle, WA, EUA) sem que houvesse alteração da inclinação.

Partia-se de uma velocidade de 2 km/h e, a cada 30 s, o paciente era questionado quanto à possibilidade de se aumentar, manter ou diminuir a velocidade. Com a permissão do paciente, a velocidade era aumentada em 1 km/h, não se permitindo que a velocidade máxima ultrapassasse 8 km/h; caso o paciente desejasse, a velocidade era mantida ou diminuída em 0,5 km/h.

Antes do início e após o final do teste, foram verificados os valores de frequência respiratória (FR), SpO2, frequência cardíaca (FC) e pressão arterial sistólica (PAS) e diastólica (PAD). Ao longo do teste, manteve-se a monitoração da FC e SpO2. Ao término do teste, a distância percorrida era anotada.

Durante todo o período do teste, os pacientes eram mantidos com um sistema de Venturi assegurando uma fração inspirada de oxigênio de 24%. Após um período de descanso de 15 min, proporcionando o retorno dos parâmetros fisiológicos à condição basal (FC, FR, PAS, PAD e SpO2), os pacientes eram submetidos a um segundo teste nas mesmas condições. Durante o período de descanso, os pacientes eram mantidos com o sistema de Venturi.

Durante a etapa preliminar do protocolo, após um segundo período de descanso de 15 min, os pacientes foram submetidos a um terceiro TC6est, partindo das mesmas condições basais. Esse terceiro teste foi realizado para a determinação da curva de aprendizado.

Os pacientes que haviam sido submetidos ao teste com NO durante o teste hemodinâmico invasivo (grupo com NO), após a realização dos dois TC6est apenas com oxigênio, realizaram o terceiro teste com a adição de NO inalatório ao sistema de Venturi, também na proporção de 40 ppm, como durante o teste hemodinâmico invasivo.

Após o segundo teste, seguia-se um segundo período de descanso de 15 min, no qual o paciente permanecia com o sistema de Venturi a 24% e adicionando-se NO na concentração de 40 ppm. Após esse período, o TC6est era repetido em vigência da inalação do NO pelo mesmo sistema, com a mesma concentração.

Os dados contínuos estão apresentados sob a forma de média e desvio-padrão, enquanto os dados categóricos estão apresentados sob a forma de proporção. Para a análise de correlação entre as variáveis obtidas durante o TC6est e as demais variáveis de estudo, foi utilizado o método de Pearson. Para a comparação entre os três testes realizados, foi utilizado ANOVA para medidas repetidas. O teste de Bonferroni foi utilizado para a análise post hoc. A descrição da sobrevida em função do tempo foi realizada através de curvas de Kaplan-Meier. Após a estratificação da sobrevida em função da mediana da distância caminhada no TC6est, as curvas foram comparadas através do teste de log-rank. Foram considerados como significativos os valores de p menores que 0,05.

Resultados

As características clínicas dos 73 pacientes incluídos no estudo podem ser visualizadas na Tabela 1. A idade média, a predominância do sexo feminino e o grau de acometimento hemodinâmico estão de acordo com os dados previamente publicados sobre pacientes portadores de HAP.(11-13)





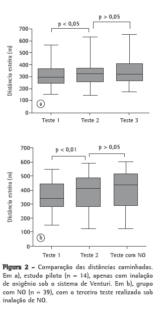
Para que fosse possível verificar a curva de aprendizado relacionada ao protocolo de caminhada proposto, foram realizadas três medidas, em iguais condições, durante a etapa preliminar. A comparação das distâncias caminhadas em cada um dos TC6est, apenas com a inalação de oxigênio a 24%, pode ser visualizada na Figura 2a.



Houve uma variação significativa da distância caminhada entre o teste 1 e o teste 2, não se observando o mesmo entre o teste 2 e o teste 3. Em virtude desses resultados, na etapa de estudo, dois testes com oxigênio passaram a ser realizados para a determinação da condição basal, sendo então escolhido o teste com a maior distância caminhada como referencial.

A distância caminhada na esteira apresentou correlação inversa com a classe funcional (r = −0,354; p < 0,05) e direta com a medida do débito cardíaco (r = 0,307; p < 0,05) e com a distância caminhada no TC6 no solo (Figura 3).



A duração do estudo permitiu ainda a análise da sobrevida da amostra estudada. A avaliação da sobrevida em função da distância caminhada foi realizada após a estratificação dos pacientes em função da mediana da distância caminhada no TC6est (Figura 4); os pacientes que andaram mais que 377 m apresentaram melhor sobrevida em relação aos que não atingiram tal valor de corte.



Da amostra total (n = 73), 39 pacientes foram incluídos no grupo com NO, por terem realizado o teste agudo com vasodilatador durante o cateterismo cardíaco direito, sendo que apenas 3 pacientes (7,7% do subgrupo testado) apresentaram resposta positiva ao NO. Neste grupo, o terceiro TC6 foi realizado com a inalação concomitante de NO (40 ppm). Apesar da pressão média da artéria pulmonar, débito cardíaco e resistência vascular pulmonar terem sofrido alterações com a utilização do NO inalatório, as variações não tiveram significância estatística. O mesmo aconteceu com relação ao efeito do NO durante o TC6est; houve variação significativa da distância caminhada entre o primeiro e o segundo testes (p < 0,01), confirmando os achados da etapa preliminar; entretanto, a adição do NO não levou a um aumento significativo da distância caminhada no terceiro teste (p > 0,05), de forma análoga ao que se observou durante o teste hemodinâmico (Figura 2b). Não houve diferença também na distância caminhada, comparando-se o grupo de respondedores e não-respondedores ao NO durante o estudo hemodinâmico, embora a população de respondedores seja demasiado pequena para permitir qualquer especulação a respeito deste dado.

Todavia, ao se correlacionar as variações hemodinâmicas decorrentes da inalação de NO durante o cateterismo com a variação da distância caminhada no TC6est em decorrência também da inalação de NO, observaram-se associações significativas (r = −0,370; p < 0,05). Apesar de tênue, a correlação positiva entre o efeito do NO na avaliação hemodinâmica e no TC6est sugere o potencial do protocolo utilizado na avaliação de intervenções agudas.

Discussão

Esse foi o primeiro estudo a validar um protocolo de TC6est para a avaliação de pacientes com HAP. O TC6est se apresenta como uma alternativa de avaliação funcional através do ato de caminhar em situações em que haja pouco espaço e/ou necessidade de monitorização do paciente. Esta ferramenta foi capaz de se relacionar com os demais marcadores funcionais, tais como os hemodinâmicos, e de prever a sobrevida de pacientes com HAP. Uma característica importante deste estudo reside no fato de que o diagnóstico de todos os pacientes se deu através de um método invasivo, garantindo assim a acurácia diagnóstica.

Os valores demográficos e a gravidade hemodinâmica da população estudada são similares àqueles de outras populações de pacientes com HAP descritos na literatura,(11-13) à exceção do subgrupo de pacientes com esquistossomose. Este subgrupo de pacientes já era esperado, devido à prevalência dessa doença em nosso país,(14,15) e pode justificar a proporção de pacientes classificados na classe funcional I/II encontrada em nossa amostra. Embora a esquistossomose não estivesse incluída no grupo de HAP, de acordo com a classificação do Simpósio Internacional de Hipertensão Pulmonar (Veneza, 2003), quando do desenho deste estudo, essa sempre foi uma alteração proposta por nosso grupo, a qual foi recentemente aceita no último simpósio internacional (Dana Point, 2008; dados ainda não publicados).

O TC6 é uma ferramenta útil e amplamente utilizada para a avaliação da capacidade funcional de pacientes com disfunção pulmonar ou cardíaca, inclusive os com HAP, sendo capaz de predizer a eficácia de intervenções terapêuticas, a sobrevida e o prognóstico destes pacientes.(13,16-18)

Entretanto, uma de suas maiores limitações deve-se à necessidade de um espaço físico adequado para sua realização, com direta influência sobre a reprodutibilidade do teste.(5)

Ao se desenvolver um protocolo de TC6est, pretendeu-se tornar o TC6 ainda mais disponível, especialmente quando não existe disponibilidade de espaço. O caminhar em uma esteira aumenta ainda a capacidade de monitorização do paciente; ainda que se considere a existência de sistemas de telemetria, os mesmos ainda não são amplamente disponíveis, o que dificulta qualquer procedimento de monitorização durante a realização de um TC6 no solo.

Em um estudo anterior, realizado com pacientes com DPOC caminhando também em esteira,(6) evidenciou-se a necessidade de realizar o TC6est pelo menos duas vezes para que um valor reprodutível pudesse ser atingido. Achados semelhantes foram descritos para o TC6 em solo, razão pela qual se considera necessária a realização de um primeiro teste em pacientes que nunca realizaram o teste anteriormente, para aumentar a reprodutibilidade do mesmo.(5) Para tal determinação, optamos por realizar a etapa preliminar de nosso estudo, que evidenciou o aprendizado entre o primeiro e o segundo teste, com tendência de estabilização no terceiro teste.

A distância caminhada no TC6est correlacionou-se com a classe funcional dos pacientes com HAP, um dos marcadores amplamente utilizados na literatura.(7,8) Assim, os pacientes que apresentavam maior limitação funcional foram os que obtiveram um menor desempenho durante o protocolo na esteira, de forma semelhante aos estudos com o TC6 em solo nesta população.(3)

Os valores hemodinâmicos obtidos através do cateterismo cardíaco direito são medidas importantes por estratificarem a gravidade da doença e predizerem o tratamento e a sobrevida dos pacientes com HAP.(19,20) A distância percorrida no TC6est correlacionou-se com os valores hemodinâmicos, particularmente com o débito cardíaco. É interessante notar que o grau de correlação obtido é próximo do anteriormente descrito para o TC6 em solo,(3) evidenciando que o padrão hemodinâmico, embora não explique totalmente os achados das avaliações com TC, está diretamente ligado a eles no que diz respeito à gravidade da HAP.

Além da correlação com a classe funcional e com a hemodinâmica, a distância percorrida no TC6est se correlacionou também com a distância percorrida no TC6 em solo. Isto demonstra que o TC6est, assim como o TC6 em solo, é capaz de mensurar a capacidade funcional dos indivíduos pelo simples ato de caminhar; um teste, porém, não substitui o outro. No TC6est, a distância caminhada foi menor que em solo; esta característica se deve a diversos fatores, dentre eles, a necessidade de coordenação entre os membros superiores e inferiores para caminhar sob um protocolo de velocidade não determinado pelo indivíduo; o próprio uso da esteira, que é um instrumento estranho à maior parte dos pacientes incluídos; e a limitação da velocidade máxima, para que o TC6est permanecesse como teste submáximo. Ressalta-se, portanto, que a distância caminhada em esteira, de acordo com nosso protocolo, não pode ser comparada com a distância obtida nos TC6 em solo; ambos os testes avaliam a capacidade funcional de forma similar, mas não idêntica.

Nosso estudo permitiu ainda avaliar a capacidade prognóstica do protocolo do TC6est desenvolvido. Os pacientes que percorreram distâncias superiores à determinada pela mediana (377 m) apresentaram melhor prognóstico que aqueles que andaram menos. A interpretação desse dado, entretanto, merece particular atenção. O número de eventos (óbitos) ao longo do estudo não permite a realização de uma análise que leve em consideração todos os fatores potencialmente relacionados ao prognóstico da população estudada; além disso, a disponibilidade terapêutica foi diferente durante o período observacional, em função da aprovação de diferentes medicamentos pelas agências reguladoras e pelos protocolos clínicos ou mesmo pelos programas governamentais existentes no serviço. Além disso, por se tratar do primeiro estudo com tal protocolo, o valor de corte determinado necessita ainda de validação em um grupo diferente de indivíduos com HAP. De toda forma, a associação da distância caminhada com a sobrevida sugere que o protocolo utilizado permite avaliar a gravidade da HAP.

No presente estudo, o NO, um gás seletivo para verificar a vasorreatividade pulmonar, foi utilizado em um teste funcional simples e de fácil realização. Desta forma, foi possível verificar que, embora não houvesse uma alteração significativa da distância percorrida com o uso do NO, houve uma correlação da variação da distância caminhada na esteira com a variação hemodinâmica decorrente do uso de NO, ou seja, a magnitude da variação na distância caminhada sob efeito do NO tem direta correlação com a magnitude da variação nas medidas hemodinâmicas induzidas pela mesma dose inalada de NO. Esse dado sugere que o TC6est seria capaz de refletir intervenções terapêuticas, pelo menos no que diz respeito a seu efeito agudo. É necessário ainda evidenciar que o protocolo descrito também seria capaz de refletir mudanças relacionadas a intervenções terapêuticas de médio e longo prazo, como já foi demonstrado para o TC6 no solo.(13,16-18)

Concluímos que o TC6est, com o protocolo utilizado, é útil na avaliação de pacientes com HAP, pois se correlaciona com os demais marcadores de gravidade clínicos e hemodinâmicos, sendo também associado ao prognóstico. As alterações relacionadas à adição do NO inalatório, durante o TC6est, embora não significativas em relação à condição basal, guardam correlação com as alterações hemodinâmicas aferidas durante o teste agudo com o NO inalatório, sugerindo o potencial emprego do protocolo descrito na avaliação de intervenções medicamentosas.

Referências

1. Humbert M, Sitbon O, Simonneau G. Treatment of pulmonary arterial hypertension. N Engl J Med. 2004;351(14):1425-36.

2. Hoeper MM, Oudiz RJ, Peacock A, Tapson VF, Haworth SG, Frost AE, et al. End points and clinical trial designs in pulmonary arterial hypertension: clinical and regulatory perspectives. J Am Coll Cardiol. 2004;43(12 Suppl S):48S-55S.

3. Miyamoto S, Nagaya N, Satoh T, Kyotani S, Sakamaki F, Fujita M, et al. Clinical correlates and prognostic significance of six-minute walk test in patients with primary pulmonary hypertension. Comparison with cardiopulmonary exercise testing. Am J Respir Crit Care Med. 2000;161(2 Pt 1):487-92.

4. Paciocco G, Martinez FJ, Bossone E, Pielsticker E, Gillespie B, Rubenfire M. Oxygen desaturation on the six-minute walk test and mortality in untreated primary pulmonary hypertension. Eur Respir J. 2001;17(4):647-52.

5. ATS Committee on Proficiency Standards for Clinical Pulmonary Function Laboratories. ATS statement: guidelines for the six-minute walk test. Am J Respir Crit Care Med. 2002;166(1):111-7.

6. Stevens D, Elpern E, Sharma K, Szidon P, Ankin M, Kesten S. Comparison of hallway and treadmill six-minute walk tests. Am J Respir Crit Care Med. 1999;160(5 Pt 1):1540-3.

7. Sociedade Brasileira de Pneumologia e Tisiologia. Diretrizes Brasileiras para o Manejo da Hipertensão Pulmonar. J Bras Pneumol. 2005;31(Suppl 2):S1-S31.

8. Simonneau G, Galiè N, Rubin LJ, Langleben D, Seeger W, Domenighetti G, et al. Clinical classification of pulmonary hypertension. J Am Coll Cardiol. 2004;43(12 Suppl S):5S-12S.

9. Costa EL, Jardim C, Bogossian HB, Amato MB, Carvalho CR, Souza R. Acute vasodilator test in pulmonary arterial hypertension: evaluation of two response criteria. Vascul Pharmacol. 2005;43(3):143-7.

10. Sitbon O, Humbert M, Jaïs X, Ioos V, Hamid AM, Provencher S, et al. Long-term response to calcium channel blockers in idiopathic pulmonary arterial hypertension. Circulation. 2005;111(23):3105-11.

11. Barst RJ, Langleben D, Frost A, Horn EM, Oudiz R, Shapiro S, et al. Sitaxsentan therapy for pulmonary arterial hypertension. Am J Respir Crit Care Med. 2004;169(4):441-7.

12. Barst RJ, Rubin LJ, Long WA, McGoon MD, Rich S, Badesch DB, et al. A comparison of continuous intravenous epoprostenol (prostacyclin) with conventional therapy for primary pulmonary hypertension. The Primary Pulmonary Hypertension Study Group. N Engl J Med. 1996;334(5):296-302.

13. Rubin LJ, Badesch DB, Barst RJ, Galie N, Black CM, Keogh A, et al. Bosentan therapy for pulmonary arterial hypertension. N Engl J Med. 2002;346(12):896-903. Erratum in: N Engl J Med. 2002;346(16):1258.

14. Lapa MS, Ferreira EV, Jardim C, Martins Bdo C, Arakaki JS, Souza R. Clinical characteristics of pulmonary hypertension patients in two reference centers in the city of Sao Paulo [article in Portuguese]. Rev Assoc Med Bras. 2006;52(3):139-43.

15. Kloos H, Correa-Oliveira R, Oliveira Quites HF, Caetano Souza MC, Gazzinelli A. Socioeconomic studies of schistosomiasis in Brazil: a review. Acta Trop. 2008;108(2-3):194-201.

16. Galiè N, Ghofrani HA, Torbicki A, Barst RJ, Rubin LJ, Badesch D, et al. Sildenafil citrate therapy for pulmonary arterial hypertension. N Engl J Med. 2005;353(20):2148-57. Erratum in: N Engl J Med. 2006;354(22):2400-1.

17. Souza R, Jardim C, Martins B, Cortopassi F, Yaksic M, Rabelo R, et al. Effect of bosentan treatment on surrogate markers in pulmonary arterial hypertension. Curr Med Res Opin. 2005;21(6):907-11.

18. Souza R, Martins BC, Jardim C, Cortopassi F, Fernandes CJ, Pulido T, et al. Effect of sitaxsentan treatment on quality of life in pulmonary arterial hypertension. Int J Clin Pract. 2007;61(1):153-6.

19. D'Alonzo GE, Barst RJ, Ayres SM, Bergofsky EH, Brundage BH, Detre KM, et al. Survival in patients with primary pulmonary hypertension. Results from a national prospective registry. Ann Intern Med. 1991;115(5):343-9.

20. Sitbon O, Humbert M, Nunes H, Parent F, Garcia G, Hervé P, et al. Long-term intravenous epoprostenol infusion in primary pulmonary hypertension: prognostic factors and survival. J Am Coll Cardiol. 2002;40(4):780-8.



Sobre os autores

Viviane Moreira de Camargo
Fisioterapeuta. Grupo de Circulação Pulmonar, Disciplina de Pneumologia, Instituto do Coração, Hospital das Clínicas, Faculdade de Medicina, Universidade de São Paulo - InCor/HC-FMUSP - São Paulo (SP) Brasil.

Barbara do Carmo dos Santos Martins
Fisioterapeuta. Grupo de Circulação Pulmonar, Disciplina de Pneumologia, Instituto do Coração, Hospital das Clínicas, Faculdade de Medicina, Universidade de São Paulo - InCor/HC-FMUSP - São Paulo (SP) Brasil.

Carlos Jardim
Médico Assistente. Ambulatório de Circulação Pulmonar, Disciplina de Pneumologia, Instituto do Coração, Hospital das Clínicas, Faculdade de Medicina, Universidade de São Paulo - InCor/HC-FMUSP - São Paulo (SP) Brasil.

Caio Julio Cesar Fernandes
Médico. Grupo de Circulação Pulmonar, Disciplina de Pneumologia, Instituto do Coração, Hospital das Clínicas, Faculdade de Medicina, Universidade de São Paulo - InCor/HC-FMUSP - São Paulo (SP) Brasil.

Andre Hovnanian
Médico. Grupo de Circulação Pulmonar, Disciplina de Pneumologia, Instituto do Coração, Hospital das Clínicas, Faculdade de Medicina, Universidade de São Paulo - InCor/HC-FMUSP - São Paulo (SP) Brasil.

Rogério Souza
Professor Associado. Disciplina de Pneumologia, Instituto do Coração, Hospital das Clínicas, Faculdade de Medicina, Universidade de São Paulo - InCor/HC-FMUSP - São Paulo (SP) Brasil.



Trabalho realizado no Ambulatório de Circulação Pulmonar, Disciplina de Pneumologia, Instituto do Coração, Hospital das Clínicas, Faculdade de Medicina, Universidade de São Paulo - InCor/HC-FMUSP - São Paulo (SP) Brasil.
Endereço para correspondência: Rogério de Souza. Disciplina de Pneumologia, Faculdade de Medicina da Universidade de São Paulo, Av. Dr. Enéas de Carvalho Aguiar, 255, Sala 7079, CEP 05403-900, São Paulo, SP, Brasil.
Tel 55 11 3069-5695. E-mail: rogerio.souza@incor.usp.br
Apoio financeiro: Rogério de Souza recebeu uma bolsa do Conselho Nacional de Desenvolvimento Científico e Tecnológico (CNPq).
Recebido para publicação em 26/8/2008. Aprovado, após revisão, em 5/11/2008.




Indexes

Development by:

© All rights reserved 2025 - Jornal Brasileiro de Pneumologia