Continuous and bimonthly publication
ISSN (on-line): 1806-3756

Licença Creative Commons
15188
Views
Back to summary
Open Access Peer-Reviewed
Original Article

Comparação entre três equações de referência para a espirometria em crianças e adolescentes com diferentes índices de massa corpórea

Comparison of three sets of reference equations for spirometry in children and adolescents with distinct body mass indices

Sarah Costa Drumond, Maria Jussara Fernandes Fontes, Irmgard de Assis, Marco Antônio Duarte, Joel Alves Lamounier, Luciana de Carvalho Lopes Orlandi, Maria da Glória Rodrigues Machado

ABSTRACT

Objective: To compare FEV1 and FVC, calculated using three sets of reference equations (devised by Polgar & Promadhat, Hsu et al. and Mallozi in 1971, 1979 and 1995, respectively), and to determine whether the three are similar in predicting lung function in children and adolescents with distinct body mass indices (BMIs). Methods: The individuals were separated into four groups in accordance with the reference standards of the National Center for Health Statistics: underweight (UW), normal weight (NW), overweight (OW), and obese (OB). All were then submitted to spirometry. Results: We evaluated 122 healthy children and adolescents, aged 7-14 years. The FVC values predicted for NW females and UW males through the use of the Hsu et al. equation were significantly higher than the measured values, as were the FEV1 values for UW females and males predicted via the Polgar & Promadhat and Hsu et al. equations. In NW females, the FEV1 values predicted via the Polgar & Promadhat equation were significantly higher than were the measured values. Conclusions: In individuals with distinct BMIs, the measured FVC and FEV1 values were not equivalent to those predicted via the Polgar & Promadhat and Hsu et al. equations. The same was not true for the Mallozi equations. The BMI was not a relevant factor for the predictive index of these equations; therefore, the Mallozi equations can be used without alteration for children and adolescents with distinct BMIs.

Keywords: Spirometry; Reference values; Body mass index; Child; Adolescent.

RESUMO

Objetivo: Comparar o VEF1 e a CVF, calculados a partir de três equações de referência (idealizadas por Polgar e Promadhat, Hsu et al. e Mallozi em 1971, 1979 e 1995, respectivamente) e verificar se estas se equivalem ao predizer a função pulmonar em crianças e adolescentes com diferentes índices de massa corpórea (IMC). Métodos: Os indivíduos foram divididos em quatro grupos: baixo peso (BP), eutrófico (E), sobrepeso (SP) e obeso (O), de acordo com o padrão de referência do National Center for Health Statistics, e então submetidos ao teste espirométrico. Resultados: Foram avaliadas 122 crianças e adolescentes saudáveis com idade entre 7-14 anos. Os valores de CVF previstos pela equação de Hsu et al. nos grupos E (feminino) e BP (masculino), assim como os valores de VEF1 previstos pelas equações de Polgar e Promadhat e Hsu et al. nos grupos BP (feminino e masculino), foram significativamente superiores aos valores medidos. De acordo com a equação de Polgar e Promadhat, os valores de VEF1 previstos foram significativamente superiores aos valores medidos no grupo E (feminino). ­Conclusões: Não houve equivalência dos valores de CVF e VEF1, medidos em indivíduos com diferentes IMC, e os previstos pelas equações de Polgar e Promadhat e de Hsu et al. O mesmo não ocorreu quando as equações de Mallozi foram utilizadas. O IMC não foi um fator importante para o índice preditivo nas equações de Mallozi, podendo ser utilizadas indistintamente em crianças e adolescentes com diferentes IMC.

Palavras-chave: Espirometria; Valores de referência; Índice de massa corporal; Criança; Adolescente.

Introdução

A espirometria é um teste de avaliação funcional que auxilia na prevenção, identificação e quantificação dos distúrbios respiratórios.(1-3)
Para a análise das medidas espirométricas de cada indivíduo, é necessário compará-las com valores espirométricos de normalidade, denominados valores de referência.(4-6) Esses valores são provenientes de equações, obtidas de um grupo populacional representativo, com um número razoável de indivíduos sem doença pulmonar e não-fumantes. Os valores de referência variam conforme o sexo (20% superiores no masculino), a idade (os valores espirométricos atingem valores máximos aos 20 anos no sexo feminino e aos 25 anos no sexo masculino), a estatura (maiores em indivíduos mais altos), a raça (valores menores de VEF1 e CVF na raça negra), fatores técnicos (de acordo com os instrumentos de medida, postura do indivíduo, observador, procedimento, programas computadorizados, temperatura e altitude) e o peso [redução dos volumes pulmonares: volume de reserva expiratório (VRE), volume residual (VR) e VEF1; redução das capacidades: capacidade residual funcional (CRF), capacidade vital (CV), ­capacidade pulmonar total (CPT) e CVF; e redução das taxas de fluxo expiratório em adultos obesos].(7,8)

Devido às diferenças nos valores de referência para a função pulmonar, não há equações recomendáveis que pudessem ser aplicadas a todas as populações de pacientes.(9,10) Essas diferenças entre as equações em relação aos valores teóricos são tão relevantes que a American Thoracic Society (ATS) recomenda que, para cada grupo populacional, sejam escolhidas equações próprias para uma melhor adequação às diferentes realidades.(11)

O estado nutricional de um indivíduo está associado à integridade do sistema respiratório.(12) Anormalidades desse sistema relacionadas às complicações da obesidade em adultos ­determinam redução dos volumes e das capacidades pulmonares (VRE, VR, VEF1, CRF, CV, CPT e CVF) e das taxas de fluxo expiratório.(13-15) Para crianças, dados sobre essas anormalidades são limitados e conflitantes.(16) Elevações do índice de massa corpórea (IMC) podem determinar redução na função pulmonar.(17-19) Entretanto, existem trabalhos que demonstram aumento nas medidas espirométricas em crianças com sobrepeso ou obesas.(12,20)

As equações de referência propostas por Polgar e Promadhat,(21) por Hsu et al.(22) e por Mallozi(7) têm sido usadas para o cálculo de valores da função pulmonar (VEF1 e CVF) em crianças e adolescentes. Essas equações têm em comum a altura como variável independente para predizer a função pulmonar. Entretanto, não existem estudos mostrando se essas equações refletem a função pulmonar de indivíduos com diferentes IMC.

O objetivo da pesquisa foi calcular e comparar o VEF1 e a CVF resultantes das três equações mencionadas e verificar a equivalência dessas equações ao predizer a função pulmonar de crianças e adolescentes com diferentes IMC e sem qualquer acometimento respiratório ou de outro sistema.

Métodos

Foram avaliados 122 crianças e adolescentes com idades entre 7 e 14 anos em três escolas de Belo Horizonte (MG), divididos em quatro grupos de acordo com o IMC: com baixo peso, eutrófico, com sobrepeso e obeso.

O cálculo do tamanho da amostra que determinou o número de 122 participantes foi realizado através da seguinte equação:

(α = 0,05; R2 = 0,70; λ = valor tabela do, que equivale a um poder de teste de 80%).

Foram excluídos do estudo crianças e adolescentes com doenças agudas ou crônicas do sistema respiratório, pós-operatório recente de cirurgia de tórax ou abdome, deformidades torácicas importantes, alterações posturais, disfunções metabólicas, cardiopatias, doenças neuromusculares, síndromes genéticas, distúrbios psíquicos, déficits cognitivos e utilização regular de medicamentos.

As crianças e os adolescentes foram submetidos a uma avaliação do sistema respiratório, que constava de anamnese, mensuração dos dados vitais, inspeção geral, estática e dinâmica, palpação, percussão e ausculta respiratória.

O questionário International Study of Asthma and Allergies in Childhood (ISAAC),(23) contendo 12 perguntas sobre a presença de sinais e sintomas de asma, alergias, fumo e bronquite, foi aplicado para excluir as crianças e os adolescentes asmáticos.

Para a avaliação da função pulmonar, foi utilizado o espirômetro Vitatrace VT 130 (Pró Médico Ltda., Rio de Janeiro, Brasil), em conformidade com critérios da ATS.(11) Esse equipamento é um espirômetro de fole que permite traçar curvas de expiração forçada e de ciclos respiratórios basais, a partir das quais são determinados os valores dos parâmetros referentes à função do sistema respiratório. O aparelho era considerado adequado, segundo os critérios da ATS, para a avaliação das provas de função pulmonar. Sabe-se hoje que estes espirômetros perdem a complacência com o uso repetido e subestimam os valores de função pulmonar.(24) Para evitar esse problema, o aparelho foi devidamente calibrado e aferido periodicamente.

Os parâmetros analisados foram CVF, VEF1 e o índice de Tiffeneau (VEF1/CVF × 100).

Os testes foram realizados em ortostatismo, com a cabeça em posição neutra e fixa, utilizando-se um clipe nasal. As crianças foram orientadas para que fizessem uma inspiração máxima e, a seguir, exalassem todo o volume de ar com esforço máximo. A boca foi acoplada devidamente ao bocal, evitando-se o vazamento de ar. Os participantes receberam estímulo verbal para expirar forçadamente até o final da manobra. A expiração foi interrompida ao final de 6 s, após atingir um platô. Cada criança realizou no mínimo três curvas de CVF.

Para a análise dos dados espirométricos, foram utilizadas as equações de referência dos autores acima citados(7,21,22) e exemplificadas na Tabela 1.





Para avaliar o estado nutricional das crianças e dos adolescentes, foram coletados os dados antropométricos (idade, peso e altura). Para a realização dessas medidas, foram utilizadas uma balança graduada em gramas (Filizola, São Paulo, Brasil) e uma fita métrica graduada em milímetros. A referência antropométrica utilizada foi a do National Center for Health Statistics (NCHS), recomendada pela Organização Mundial de Saúde.

O IMC por idade foi utilizado para a classificação da composição corporal, de acordo com a referência do NCHS(25): baixo peso
(IMC/idade < percentil 5); eutrófico (percentil 5 ≤ IMC/idade < percentil 85); sobrepeso (percentil 85 ≤ IMC/idade < 95); e obeso (IMC/idade ≥ percentil 95).

Para a análise estatística dos dados coletados, foi utilizado o programa GraphPad Prism 5 (GraphPad Software Inc., San Diego, CA, EUA), pelo qual os dados foram analisados através de medidas de tendência central e do teste t de Student (não-pareado) para a descrição da amostra. Para a comparação dos valores de CVF e VEF1, obtidos segundo as equações utilizadas,(7,21,22) utilizou-se o teste one-way ANOVA; para as comparações múltiplas (dois a dois), foi usado o teste post-hoc de Dunnett. Os resultados foram considerados significativos quando a significância fosse inferior a 5% (p < 0,05).(26)

Este estudo foi aprovado pelo Comitê de Ética em Pesquisa em Seres Humanos da Universidade Federal de Minas Gerais e iniciado após o consentimento por escrito dos responsáveis legais das crianças e adolescentes selecionados.

Resultados

Um total de 122 crianças e adolescentes, 61 (10,26 ± 2,26 anos) do sexo masculino e 61 (10,54 ± 2,26 anos) do feminino, foi incluído no estudo. A caracterização antropométrica da amostra total está apresentada na Tabela 2. Não houve diferenças dos parâmetros antropométricos entre os grupos do sexo feminino e masculino.



A Tabela 3 apresenta os valores da média e do desvio-padrão da idade, altura, peso, IMC, CVF e VEF1 da população, separados por gênero, nos diferentes grupos de IMC.

Não foram observadas diferenças significativas dos valores de CVF e VEF1 entre os gêneros. Observou-se um aumento nessas medidas com a elevação do IMC. Os valores de CVF, tanto no grupo masculino quanto no feminino, foram significativamente superiores no grupo obeso em relação ao grupo com baixo peso (p = 0,0279 e p = 0,0084 para os gêneros masculino e feminino, respectivamente) e em relação ao e em relação aos grupos eutrófico e com baixo peso do sexo masculino (p = 0,0075 e p = 0,0125 para os gêneros masculino e feminino, respectivamente). Para o VEF1, os valores também foram maiores no grupo obeso em relação ao grupo com baixo peso do sexo feminino (p = 0,0084) e em relação ao grupo eutrófico do sexo masculino (p = 0,0108).
A Tabela 3 evidencia que o grupo obeso tinha maior estatura, o que pode explicar os maiores valores de função pulmonar encontrados.



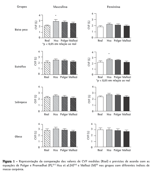
As Figuras 1 e 2 mostram a comparação entre os dados obtidos das crianças e adolescentes e daqueles obtidos a partir dos resultados das três equações utilizadas neste estudo(7,21,22), nos grupos com diferentes IMC, para CVF e VEF1, respectivamente.








Os valores de CVF previstos pela equação de Hsu et al.(22) foram significativamente superiores aos valores medidos no grupo eutrófico feminino e no grupo com baixo peso masculino. Não houve diferenças entre os valores de CVF medidos e os valores previstos pelas três equações nos grupos eutrófico, com sobrepeso e obeso (masculino), assim como nos grupos com baixo peso, com sobrepeso e obeso (feminino).

Os valores de VEF1 nos grupos com baixo peso (feminino e masculino), previstos pelas equações de Polgar e Promadhat(21) e Hsu et al.(22) foram significativamente superiores aos valores medidos. No grupo eutrófico (feminino), os valores de VEF1 previstos pela equação de Polgar e Promadhat(21) foram significativamente superiores aos valores medidos. Não houve diferença entre os valores de VEF1 medidos e os valores previstos pelas três equações nos grupos eutrófico, com sobrepeso e obeso (masculino), assim como nos grupos com sobrepeso e obeso (feminino).

Discussão

Os resultados do presente estudo demonstraram um aumento gradativo nos valores espirométricos de CVF e VEF1 relacionados ao aumento do IMC. Estes achados estão de acordo com alguns relatos da literatura,(12,14,20) que mostram uma correlação entre o IMC e a função pulmonar em adolescentes de ambos os sexos e em crianças com sobrepeso, exceto para os valores de VEF1/CVF. Entretanto, alguns autores,(27) ao compararem pacientes eutróficos e obesos, relataram uma redução dos valores de CVF e VEF1 proporcional ao aumento do IMC. Provavelmente isto ocorreu devido aos diferentes métodos utilizados nas pesquisas.

Os valores de VEF1 e CVF encontrados neste estudo foram calculados a partir de três equações de referência.(7,21,22) Essas equações têm sido usadas para o cálculo dos valores previstos para espirometria em crianças e adolescentes.

Polgar e Promadhat,(21) em 1971, reuniram dados de estudos publicados entre 1922 e 1969 para elaborar equações de referência para o uso clínico em pediatria, as quais são utilizadas em nosso meio. Esses autores sumarizaram os dados de 12 publicações de diferentes autores e elaboraram uma nova equação preditiva que foi o resultado da média das equações de referência publicadas previamente. Essas equações são utilizadas especialmente na Europa e nos Estados Unidos. Hsu et al.(22)
descreveram a função ventilatória em crianças e adultos jovens, com idade entre 7 e 20 anos, em brancos, negros e méxico-americanos, e encontraram para estes últimos valores significativamente menores que em brancos e superiores que em negros.

Enquanto esses autores(21,22) utilizaram apenas a estatura como variável independente, por modelos de potência, numa larga faixa de idade pediátrica, Mallozi(7) utilizou o peso, a idade e a altura como variáveis nos modelos elaborados. A autora propôs equações de referência que expressam o padrão normal para uma ­população miscigenada e, portanto, geneticamente diferenciada, como a brasileira.

Entretanto, essa autora estudou uma pequena amostra da população multirracial no estado de São Paulo.(7) Mesmo trabalhando com dois grupos isolados e distintos, Polgar e Mallozi encontraram resultados comparáveis em todas as faixas etárias, em ambos os sexos.(28)

Não existem publicações comparando as três equações, como foi proposto neste estudo. As três equações comparadas geraram, para CVF e VEF1 em 122 crianças e adolescentes com diferentes IMC, alguns valores que não diferiram significativamente. Entretanto, ocorreram diferenças nos grupos eutrófico e com baixo peso. Os valores medidos de CVF e VEF1 foram menores do que os valores previstos pelas equações de Polgar e Promadhat(21) e de Hsu et al.(22) Os valores previstos pelos primeiros(21) para CVF e VEF1 dos grupos eutrófico e com baixo peso (feminino), assim como os valores de VEF1 do grupo com baixo peso (masculino), demonstraram uma superestimação. Os valores previstos pelos segundos(22) para CVF dos grupos eutrófico (feminino) e com baixo peso (masculino), assim como os valores para VEF1 do grupo com baixo peso (feminino), também demonstraram uma superestimação. Diferentemente, os valores previstos pelas equações propostas por Mallozi(7) foram mais próximos dos valores medidos. As diferenças observadas no presente estudo talvez possam ser explicadas pelas diferenças étnicas entre os países e pelos diferentes procedimentos e métodos usados para selecionar a amostra de referência.

Os valores de referência para a espirometria são baseados na análise de fatores ambientais e pessoais, em populações saudáveis, de acordo com critérios especificados, os quais podem variar de estudo a estudo.
(29) Esses valores devem ser periodicamente revistos devido a mudanças nas populações ao longo do tempo. Portanto, as características da população devem ser observadas e monitoradas.
Quando as equações de Polgar e Promadhat(21) e as de Hsu et al.(22) são usadas em outros países, por exemplo, no Brasil, em indivíduos diferentes dos que as originou, esse critério não é observado. Desse modo, para a escolha de determinada equação, devem ser consideradas as características da população para que esta equação possa representar melhor os parâmetros da função pulmonar.

O estudo demonstrou que o uso das equações de Polgar e Promadhat(21) e Hsu et al.,(22) no intervalo de idade e IMC analisados, nesta amostra de crianças e adolescentes de Belo Horizonte (MG), superestimou de forma significativa os resultados espirométricos nos grupos eutrófico e com baixo peso. Entretanto, não foram observadas diferenças entre os valores de CVF e VEF1 medidos em crianças com diferentes IMC e os valores previstos pelas equações de Mallozi.(7)

Essas últimas se adequaram melhor para essa amostra de crianças e adolescentes de 7 a 14 anos de idade. O IMC não foi um fator importante para o índice preditivo nessas equações; portanto, essas podem ser utilizadas em crianças e adolescentes com diferentes IMC.

Agradecimentos

Agradecemos às supervisoras a oportunidade de desenvolver o trabalho nas escolas e às crianças e adolescentes que participaram deste estudo, contribuindo para a sua realização.

Referências

1. Pereira CA, Oliveira RC, Ribeiro M, Fuzi CE. Aplicações clínicas dos testes funcionais na asma. J Pneumol. 1993;19(7):129-36.

2. Sociedade Brasileira de Pneumologia e Tisiologia. I Consenso Brasileiro sobre Espirometria. J Pneumol. 1996;22(3):105-64.

3. Silva LC, Rubin AS, Silva LM, editors. Avaliação funcional pulmonar. Rio de Janeiro: Revinter; 2000. p. 11-31.

4. Cotes JE. Lung function throughout life; determinants and references values. In: Cotes JE, editor. Lung function: assessment and application in medicine. Oxford: Blackwell Scientific; 1979. p. 329-88.

5. Dybkaer R, Gräsbeck R. Editorial: Theory of reference values. Scand J Clin Lab Invest. 1973;32(1):1-7.

6. Buist AS. Evaluation of lung function: concepts of normality. In: Simmons DH, editor. Current pulmonology. Boston: Houghton Mifflin; 1983. p. 141-165.

7. Sociedade Brasileira de Pneumologia e Tisiologia. Diretrizes para Testes de Função Pulmonar. J Pneumol. 2002;28(Suppl 30):S1-S238.

8. Pereira CA, Barreto SP, Simões JG, Pereira FW, Gerstler JG, Nakatani J. Valores de referência para a espirometria em uma amostra da população brasileira adulta. J Pneumol. 1992;18(1):10-22.

9. Clausen JL. Prediction of normal values. In: Clausen JL, Abramson JF, editors. Pulmonary function testing guidelines and controversies: equipment, methods, and normal values. New York: Academic Press; 1982. p.49-59.

10. Crapo RO, Morris AH. Pulmonary function testing: sources of error in measurement and interpretation. South Med J. 1989;82(7):875-9.

11. Lung function testing: selection of reference values and interpretative strategies. American Thoracic Society. Am Rev Respir Dis. 1991;144(5):1202-18.

12. Fung KP, Lau SP, Chow OK, Lee J, Wong TW. Effects of overweight on lung function. Arch Dis Child. 1990;65(5):512-5.

13. Luce JM. Respiratory complications of obesity. Chest. 1980;78(4):626-31.

14. Rubinstein I, Zamel N, DuBarry L, Hoffstein V. Airflow limitation in morbidly obese, nonsmoking men. Ann Intern Med. 1990;112(11):828-32. Erratum in: Ann Intern Med. 1990;113(4):334.

15. Suratt PM, Wilhoit SC, Hsiao HS, Atkinson RL, Rochester DF. Compliance of chest wall in obese subjects. J Appl Physiol. 1984;57(2):403-7.

16. Li AM, Chan D, Wong E, Yin J, Nelson EA, Fok TF. The effects of obesity on pulmonary function. Arch Dis Child. 2003;88(4):361-3.

17. Schoenberg JB, Beck GJ, Bouhuys A. Growth and decay of pulmonary function in healthy blacks and whites. Respir Physiol. 1978;33(3):367-93.

18. Dontas AS, Jacobs DR Jr, Corcondilas A, Keys A, Hannan P. Longitudinal versus cross-sectional vital capacity changes and affecting factors. J Gerontol. 1984;39(4):430-8.

19. Chen Y, Horne SL, Dosman JA. Body weight and weight gain related to pulmonary function decline in adults: a six year follow up study. Thorax. 1993;48(4):375-80.

20. Dockery DW, Berkey CS, Ware JH, Speizer FE, Ferris BG Jr. Distribution of forced vital capacity and forced expiratory volume in one second in children 6 to 11 years of age. Am Rev Respir Dis. 1983;128(3):405-12.

21. Polgar G, Promadhat V, editors. Pulmonary function testing in children: techniques and standards. Philadelphia: Saunders; 1971. 273p.

22. Hsu KH, Jenkins DE, Hsi BP, Bourhofer E, Thompson V, Tanakawa N, et al. Ventilatory functions of normal children and young adults--Mexican-American, white, and black. I. Spirometry. J Pediatr. 1979;95(1):14-23.

23. Worldwide variations in the prevalence of asthma symptoms: the International Study of Asthma and Allergies in Childhood (ISAAC). Eur Respir J. 1998;12(2):315-35.

24. Pereira CA, Sato T, Rodrigues SC. New reference values for forced spirometry in white adults in Brazil. J Bras Pneumol. 2007;33(4):397-406.

25. Kuczmarski RJ, Ogden CL, Grummer-Strawn LM, Flegal KM, Guo SS, Wei R, et al. CDC growth charts: United States. Adv Data. 2000;(314):1-27.

26. Pagano M, Gauvreau K. Princípios de bioestatística. São Paulo: Thomson Pioneira; 2004. 506p.

27. Ladosky W, Botelho MA, Albuquerque JP Jr. Chest mechanics in morbidly obese non-hypoventilated patients. Respir Med. 2001;95(4):281-6.

28. Ladosky W, Andrade RT, Loureiro NG, Botelho MA. Comparação entre os valores teóricos para alguns dados espirométricos em crianças determinados pelas equações de Mallozi e de Polgar. J Pneumol. 2002;28(3):125-30.

29. Becklake MR. Concepts of normality applied to the measurement of lung function. Am J Med. 1986;80(6):1158-64.



Trabalho realizado no Centro Universitário de Belo Horizonte - UNIBH - e na Universidade Federal de Belo Horizonte - UFMG - Belo Horizonte (MG) Brasil.
Endereço para correspondência: Sarah Costa Drumond. Rua Muzambinho, 355, apto. 204, Anchieta, CEP 30310-280, Belo Horizonte, MG, Brasil.
Tel 55 31 3378-8758. E-mail: sarahfisio2000@gmail.com
Apoio financeiro: Nenhum.
Recebido para publicação em 8/4/2008. Aprovado, após revisão, em 3/11/2008.



Sobre os autores

Sarah Costa Drumond
Professora. Centro Universitário de Belo Horizonte - UNIBH - Belo Horizonte (MG) Brasil.

Maria Jussara Fernandes Fontes
Professora Adjunta III. Departamento de Pediatria, Faculdade de Medicina, Universidade Federal de Belo Horizonte - UFMG - Belo Horizonte (MG) Brasil.

Irmgard de Assis
Pediatra Pneumologista. Hospital das Clínicas, Universidade Federal de Belo Horizonte - UFMG - Belo Horizonte (MG) Brasil.

Marco Antônio Duarte
Professor Associado I. Faculdade de Medicina, Universidade Federal de Belo Horizonte - UFMG - Belo Horizonte (MG) Brasil.

Joel Alves Lamounier
Professor Titular. Departamento de Pediatria II, Faculdade de Medicina, Universidade Federal de Belo Horizonte - UFMG - Belo Horizonte (MG) Brasil.

Luciana de Carvalho Lopes Orlandi
Professora. Faculdade de Ciências Médicas de Minas Gerais - FCMMG - Belo Horizonte (MG) Brasil.

Maria da Glória Rodrigues Machado
Professora. Faculdade de Ciências Médicas de Minas Gerais - FCMMG - Belo Horizonte (MG) Brasil.


Indexes

Development by:

© All rights reserved 2025 - Jornal Brasileiro de Pneumologia