Continuous and bimonthly publication
ISSN (on-line): 1806-3756

Licença Creative Commons
13167
Views
Back to summary
Open Access Peer-Reviewed
Original Article

Factors associated with the minimal clinically important difference for health-related quality of life after physical conditioning in patients with COPD

Fatores associados à diferença clinicamente significativa da qualidade de vida relacionada à saúde após condicionamento físico em pacientes com DPOC

Victor Zuniga Dourado, Letícia Cláudia de Oliveira Antunes, Suzana Erico Tanni, Irma Godoy

ABSTRACT

Objective: To identify factors associated with the minimal clinically important difference (MCID) for health-related quality of life (HRQoL) after physical conditioning in patients with COPD. Methods: Thirty-five patients were submitted to a 12-week program of physical conditioning (strength training plus low-intensity aerobic exercise). Body composition, incremental treadmill test results, endurance treadmill test results, six-minute walk test results, peripheral muscle strength, MIP, baseline dyspnea index (BDI) and Saint George's Respiratory Questionnaire (SGRQ) scores were assessed at baseline and after the program, thus allowing the variations (Δ) to be calculated. The MCID for HRQoL was defined as a reduction of ≥ 4% in the SGRQ total score. Subjects who responded to the program, achieving the MCID for HRQoL, were allocated to the responders (R) group (n = 24), and the remainder were allocated to the non-responders (NR) group (n = 11). Results: The values obtained for the following variables were significantly higher in group R than in group NR (p < 0.05): FEV1 (1.48 ± 0.54 L vs. 1.04 ± 0.34 L); VEF1/FVC (47.9 ± 11.7% vs. 35.5 ± 10.7%); PaO2 (74.1 ± 9.7 mmHg vs. 65.0 ± 8.9 mmHg); and ΔBDI, expressed as median and interquartile range (2.0 [0.0-3.5] vs. 0.0 [0.0-1.0]). The ΔBDI correlated significantly with the ΔSGRQ symptoms domain score, activity domain score and total score (r = 0.44, 0.60 and 0.62, respectively, p < 0.01 for all). After logistic regression, only ΔBDI remained as a predictor of MCID for HRQoL. Conclusions: Achieving the MCID for HRQoL after physical conditioning is associated with dyspnea reduction in COPD patients. Therefore, there is a need to develop treatment strategies designed to interrupt the dyspnea-inactivity-dyspnea cycle in such patients.

Keywords: Pulmonary disease, chronic obstructive; Quality of life; Dyspnea; Exercise; Rehabilitation.

RESUMO

Objetivo: Investigar os fatores associados à diferença clinicamente significativa da qualidade de vida (DCSQV) após condicionamento físico em pacientes com DPOC. Métodos: Trinta e cinco pacientes foram submetidos a 12 semanas de condicionamento físico, envolvendo treinamento de força e exercício aeróbio leve. Composição corporal, teste incremental e de endurance em esteira, teste de caminhada de seis minutos, força muscular periférica, PImáx, baseline dyspnea index (BDI) e Saint George's Respiratory Questionnaire (SGRQ) foram avaliados antes e após o treinamento, e suas alterações (Δ) foram calculadas. A DCSQV foi definida como a redução ≥ 4% no escore total do SGRQ. Os pacientes que responderam ao treinamento, apresentando DCSQV, foram alocados no grupo respondedores (R; n = 24), e os demais pacientes foram alocados no grupo não-respondedores (NR; n = 11). Resultados: Os seguintes resultados foram significativamente maiores no grupo R que no grupo NR (p < 0,05): VEF1 (1,48 ± 0,54 L vs. 1,04 ± 0,34 L), VEF1/CVF (47,9 ± 11,7% vs. 35,5 ± 10,7%), PaO2 (74,1 ± 9,7 mmHg vs. 65,0 ± 8,9mmHg) e ΔBDI [mediana (interquartil); 2,0 (0,0-3,5) vs. 0,0 (0,0-1,0)]. Houve correlação significativa (p < 0,01) de ΔSGRQ-sintomas (r = 0,44), ΔSGRQ-atividade (r = 0,62) e ΔSGRQ-total (r = 0,60) com ΔBDI. Após regressão logística, apenas ΔBDI foi selecionado como determinante da DCSQV. Conclusões: A DCSQV após o condicionamento físico está associada principalmente à redução da dispneia nos pacientes com DPOC. Portanto, são necessárias estratégias de tratamento visando interromper o ciclo dispneia-sedentarismo-dispneia nesses pacientes.

Palavras-chave: Doença pulmonar obstrutiva crônica; Qualidade de vida; Dispneia; Exercício; Reabilitação.

Introduction

Dyspnea, exercise intolerance and poor general health status are common problems in patients with COPD. Such manifestations have initially been attributed to airflow limitation; however, peripheral skeletal muscle dysfunction, recognized as the principal extrapulmonary manifestation of COPD, also reduces exercise tolerance and is related to symptoms such as fatigue and dyspnea.(1) In this context, physical exercise is recommended as the principal intervention of pulmonary rehabilitation programs for patients with COPD (level of evidence, 1a).(2)

Improved health-related quality of life (HRQoL) is one of the most important outcomes of pulmonary rehabilitation programs,(3-5) and various instruments have been developed to evaluate the improvement in HRQoL in patients with COPD. The Saint George's Respiratory Questionnaire (SGRQ) is one of the most discriminative tools,(6) and a Portuguese-language version has been validated for use in Brazil.(7) The minimal clinically important difference (MCID) for HRQoL was defined as a reduction of ≥ 4% in the SGRQ total score.(6)

The functional disability related to activities of daily living associated with dyspnea can be evaluated through the baseline dyspnea index (BDI), developed by Mahler et al.(8) The BDI contains simple questions that can identify impaired general health status, and the correlation between dyspnea and HRQoL has been well-documented in cross-sectional studies.(9-11) However, longitudinal studies are required in order to evaluate the correlation between alterations in dyspnea and alterations in HRQoL after interventions for patients with COPD. Therefore, the purpose of the present study was to investigate the clinical and physiological attributes that predict the MCID for HRQoL in COPD patients after their participation in programs of physical conditioning.

Methods

Fifty-one patients consecutively admitted to a pulmonary rehabilitation program were invited to participate in the present study. We included patients who had been diagnosed with COPD in accordance with the Global Initiative for Chronic Obstructive Lung Disease criteria: clinical history consistent with the diagnosis; exposure to risk factors; FEV1/FVC ratio < 70%; and an increase < 15% (or 200 mL) in FEV1 after the inhalation of 400 µg of albuterol.(12) Clinical stability, characterized by the absence of exacerbations of the disease or of alterations in the pharmacological treatment in the two months preceding the study outset, was an additional inclusion criterion. Patients participating in rehabilitation programs up to one year before the beginning of the present study were excluded, as were those presenting evidence of cardiovascular or osteoarticular diseases (or a combination of the two). Four patients did not complete the initial process of evaluation and were also excluded. Therefore, the final sample comprised 47 patients, who were randomly allocated to participate in one of three types of physical exercise programs, three days a week for 12 weeks. All patients gave written informed consent. The present study was approved by the Research Ethics Committee of the Botucatu School of Medicine Hospital das Clínicas.

In accordance with the criteria established by the American Thoracic Society,(13) the following were assessed: FVC; FEV1; and the FEV1/FVC ratio. These variables were assessed using a Med-Graph 1070 spirometer (Medical Graphics Corporation, St. Paul, MN, USA). The spirometry results were expressed in absolute values and as the percentage of predicted.(14) The MIP was assessed in accordance with the methods described by Black & Hyatt.(15) The PaO2 and PaCO2 were assessed in arterial blood using a blood gas analyzer (Stat Profile 5 Plus; Nova Biomedical, Waltham, MA, USA). The blood samples were drawn from the radial artery while the patient was at rest and breathing room air.
Weight and height were measured, and the body mass index (BMI, in kg/m2) was calculated. Bioelectric impedance analysis was performed (BIA 101A; RJL systems, Detroit, MI, USA) to determine lean body mass (LBM, in kg) by applying a group-specific regression equation.(16) The LBM index (LBMI) was calculated (LBMI = LBM/height2), and LBM depletion was defined as an LBMI lower than 16 kg/m2 for males or lower than 15 kg/m2 for females.(17)

The previously validated Brazilian Portuguese version of the SGRQ was used to evaluate the HRQoL of patients.(7) The MCID for HRQoL was defined as a reduction of ≥ 4% in the SGRQ total score after physical conditioning. A Portuguese-language version(18) of the BDI(8) was used to evaluate dyspnea related to activities of daily living at the study outset and after the 12 weeks of physical conditioning.

Peripheral muscle strength was evaluated through a maximal repetition test, in accordance with the recommendations of the American College of Sports Medicine.(19) In addition, hand-grip strength of the dominant hand was evaluated using a dynamometer (TEC-60; Technical Products, Clifton, NJ, USA).(20)

The patients were submitted to an incremental treadmill test, limited by symptoms, using the modified Bruce protocol.(21) On a subsequent day, an endurance treadmill test at constant load was performed. In brief, after 3 min of walking at minimum intensity, the treadmill was set to 80% of the speed and 80% of the inclination obtained after the incremental treadmill test. The patients were instructed to walk for as long as possible at that constant load. Functional exercise tolerance was also evaluated, using the six-minute walk test (6MWT). With the exception of the oval shape of the 33.12-m course, all test procedures followed the recommendations of the American Thoracic Society.(22)

The patients were randomly allocated to one of three groups: strength training (ST), low-intensity aerobic exercise (LIAE) or combined training (CT = 50% ST + 50% LIAE). The details of the program of physical conditioning, as well as the results of the program, have previously been described.(23) The ST consisted of three series of 12 repetitions, with a 2-min interval between series and intensity ranging from 50% to 80% of the maximal repetition capacity, in seven exercises performed using bodybuilding equipment. The LIAE comprised 30 min of free walking at a self-determined intensity and 30 min of low-intensity general exercise performed on mats and on parallel bars using free weights. The CT comprised 30 min of ST with two series of 8 repetitions at an intensity ranging from 50% to 80% of the maximal repetition capacity and 30 min of low-intensity general exercise with half the volume of the LIAE. All exercise programs were conducted in 60-min sessions, and the duration of the intervals between exercises was adequate for resting.

Statistical analysis was performed using the software SigmaStat 2.03 (SPSS Inc, Chicago, IL, USA) and Systat 1.0 (Systat Software Inc., San Jose, CA, USA). The following statistical tests were performed: the Kolmogorov-Smirnov test for descriptive analysis of the data (mean ± standard deviation); the chi-square test or Fisher's exact test to compare proportions; and Pearson's or Spearman's correlation coefficients to evaluate the correlation between the variables under study.

Subjects who responded to the program, achieving the MCID for HRQoL, were allocated to the responders (R) group, and the remainder were allocated to the non-responders (NR) group. Baseline attributes and their absolute variations (Δ) in the R and NR groups were compared using the t-test. Multiple logistic regression analysis was used to evaluate the attributes associated with the MCID for HRQoL. The variables that presented significantly different mean values between the R and NR groups (p < 0.05) were included as independent variables in the logistic regression model. Among the pulmonary function attributes, FEV1 (expressed as the percentage of predicted) and PaO2 were given priority over FVC, FEV1/FVC and SpO2 as the most clinically relevant attributes. In addition, variables that presented values of p < 0.2 when the two groups were compared were included in the model.

Results

Of the 47 patients initially evaluated, 12 (4 in the ST group, 5 in the LIAE group and 3 in the CT group) did not complete the 12 weeks of training due to the following: lack of motivation (n = 5); exacerbation of the disease (n = 4); socioeconomic difficulties (n = 1); conflict between the program schedule and work schedule (n = 1); and nonspecific musculoskeletal complaints (n = 1). Therefore, 35 patients completed the training protocols with adequate adherence (≥ 85% of the 36 sessions). In brief, after the programs, with the exception of peripheral muscle strength, which presented more consistent results in the ST and CT groups, the type of exercise performed did not have any influence on HRQoL, dyspnea or exercise tolerance. After the training period, none of the training groups presented significant changes in pulmonary function or in body composition. Details of these results are presented in a previously published study.(23)

The baseline characteristics of the 35 patients are presented in Table 1. Twenty-four patients (68.57%) presented clinically significant improvement in the SGRQ total score and were allocated to the R group (7 to the ST group, 8 to the CT group and 9 to the LIAE group; p > 0.05). On average, the patients presented moderate airflow obstruction. None of the patients presented evidence of hypoxemia, defined as PaO2 < 55 mmHg and SpO2 < 89%. Three patients presented a BMI < 21 kg/m2. Three others presented an LBMI < 15 kg/m2 (females) or < 16 kg/m2 (males). One patient presented BMI and LBMI values that were below normal.





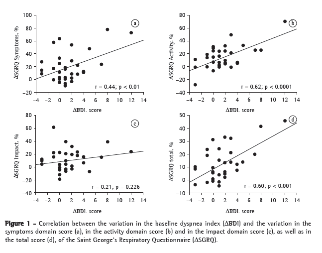
The comparison between the R and NR groups in terms of their characteristics at baseline (before the initiation of the program of physical conditioning) showed that FEV1, FEV1/FVC and PaO2 were significantly higher in the R group (Table 1). The median (interquartile range) of the difference in the sensation of dyspnea between the beginning and the end of the rehabilitation program (ΔBDI) was significantly higher in the R group than in the NR group (2.0 [0.0-3.5] vs. 0.0 [0.0-1.0]; p = 0.023). In addition, baseline values for weight and MIP trended higher in the R group (71.0 ± 12.5 kg vs. 62.5 ± 14.12 kg; p = 0.083 and −73.4 ± 23.1 cmH2O vs. −57.7 ± 23.9 cmH2O; p = 0.074). Figure 1 presents the correlations between ΔSGRQ and ΔBDI. The ΔBDI correlated significantly with the ΔSGRQ symptoms domain score, activity domain score and total score. Using the ΔBDI, FEV1 (% of predicted), PaO2, weight and MIP as independent variables in the logistic regression analysis, only the ΔBDI remained as a predictor of MCID for HRQoL in the SGRQ total score (Table 2).








Discussion

We evaluated the characteristics and markers of COPD that can discriminate between patients with and patients without clinically significant improvement in the quality of life after having participated in pulmonary rehabilitation programs. We obtained two principal results. First, the reduction of dyspnea after physical conditioning was the most significant predictor of the MCID for HRQoL. Second, the MCID for HRQoL was achieved by the majority of the patients who participated in the programs of physical conditioning, regardless of the type of training.

The findings of the present study, which had a longitudinal design, corroborate those of cross-sectional studies,(9,10) which highlight dyspnea as the principal clinical attribute that can predict the quality of life in patients with COPD. Similarly, one group of authors(24) showed that, after the completion of a multidisciplinary program of pulmonary rehabilitation, dyspnea reduction after the 6MWT correlated significantly with improved SGRQ total score. However, another group of authors(25) evaluated the baseline factors that predicted the improvement in the quality of life of 53 COPD patients who were submitted to a pulmonary rehabilitation program and monitored for one year after the completion of the program. The authors of that study showed that, after a logistic regression analysis, only PaCO2 remained as a predictor of the long-term maintenance of the improvement in the quality of life after the completion of the pulmonary rehabilitation program. However, the authors(25) did not include baseline dyspnea or dyspnea alteration in the logistic regression model. Our results, in accordance with those of another longitudinal study,(24) have confirmed that the influence of dyspnea on the quality of life of COPD patients is greater than is that of other physiological attributes. We have also shown that the BDI can be a useful instrument to quantify improvement in the quality of life of COPD patients after physical conditioning. This finding is in accordance with those of a group of authors(3) who used the BDI to evaluate dyspnea perception and noted that the index was able to quantify symptom reduction after three programs of physical conditioning in patients with COPD.

In accordance with the findings of the present study, one group of authors(26) observed no correlation between improved quality of life and improved 6MWT results. In that study,(26) COPD patients were submitted to a pulmonary rehabilitation program and were monitored for one year after the completion of the program. The authors noted that, unlike improved 6MWT results, improved endurance cycle ergometer test results correlated with improvement in the SGRQ activity domain score, impact domain score and total score after follow-up. A systematic review, with meta-analysis,(27) showed that 6MWT results after pulmonary rehabilitation vary widely and that patients with COPD that is more severe require at least six months of rehabilitation in order to achieve significant improvement in the 6MWT results, which partly explains the great variability of the results. In addition, the ability to walk as fast as possible might be affected by personal expectations and by the degree of motivation and, therefore, is more closely related to dyspnea during activities of daily living.(28) The improvement in exercise tolerance is due to neuromuscular adaptations and, in particular, to the relief of the sensation of dyspnea after rehabilitation,(27) which can indirectly improve the quality of life. Therefore, dyspnea is commonly associated with the quality of life of COPD patients due to the "dyspnea spiral" (downward spiral of physical activity) and to the chronic decrease in physical conditioning, both commonly seen in COPD patients.(9,10)

Data in the literature suggest that spirometric indices cannot accurately predict the quality of life of COPD patients in cross-sectional studies.(28)

The traditional method of evaluating COPD progression has been the evaluation of the decrease in FEV1,(29) and, to date, smoking ­cessation has been the only treatment that is known to reduce the speed of decrease in FEV1 in COPD patients.(29) Randomized controlled clinical trials involving placebo groups have shown that bronchodilator treatment and corticosteroid treatment are unable to reduce the speed of decrease in FEV1 over time.(30) It is therefore expected that physical exercise does not result in significant changes in FEV1, which might in part explain the lack of correlation between the changes in spirometry results and the changes in quality of life observed in the present study.

We observed that the R group comprised patients with COPD that is less severe, as evidenced by better pulmonary function test results and better arterial blood gas analysis results. One group of authors(27) conducted a meta-analysis and noted that patients with severe and extremely severe COPD presented a significant reduction in dyspnea only while participating in rehabilitation programs of six months or more. In contrast, patients with mild or moderate COPD presented a significant reduction in dyspnea while participating in short-term programs and in programs of six months or more. In the present study we identified attributes that can predict the MCID for HRQoL and should be taken into consideration for short-term interventions. Therefore, future studies should be designed to identify such attributes in long-term pulmonary rehabilitation programs.

The present study has limitations that should be taken into consideration. We performed a post hoc analysis of the data from a study designed to compare the effects of three types of training.(23) However, the sample size calculation for the original study was based on the MCID for HRQoL, i.e., on a reduction of ≥ 4% in the SGRQ total score, indicating the need for 10 patients in each training group. The results showed significant improvement in the SGRQ total score in the three training groups, no differences being observed between the groups. In this sense, the number of patients evaluated was adequate regarding the improvement in the quality of life. In addition, the results of the present study are in accordance with those of other studies, which showed no significant differences between various types of training regarding the improvement in the principal variables of general health status, particularly in the quality of life.(1-5,23) The present study presented results that complement those of a previously published study,(23) and the number of patients in the R and NR groups allowed the identification of certain differences between the variables at baseline. Despite the small sample size, the statistical power of our study was 80%.

In conclusion, the reduction in the sensation of dyspnea after programs of physical conditioning is an important predictor of the MCID for HRQoL in patients with COPD. Our results underscore the importance of developing strategies for pulmonary rehabilitation aimed at reducing dyspnea and breaking the dyspnea-deconditioning-dyspnea cycle commonly seen in patients with COPD. Secondarily, we observed that physical conditioning in isolation was able to improve the quality of life of most of the COPD patients involved in the present study.


References


1. Nici L, Donner C, Wouters E, Zuwallack R, Ambrosino N, Bourbeau J, et al. American Thoracic Society/European Respiratory Society statement on pulmonary rehabilitation. Am J Respir Crit Care Med. 2006;173(12):1390-413.

2. Ries AL, Bauldoff GS, Carlin BW, Casaburi R, Emery CF, Mahler DA, et al. Pulmonary Rehabilitation: Joint ACCP/AACVPR Evidence-Based Clinical Practice Guidelines. Chest. 2007;131(5 Suppl):4S-42S.

3. Ortega F, Toral J, Cejudo P, Villagomez R, Sánchez H, Castillo J, et al. Comparison of effects of strength and endurance training in patients with chronic obstructive pulmonary disease. Am J Respir Crit Care Med. 2002;166(5):669-74.

4. Mador MJ, Bozkanat E, Aggarwal A, Shaffer M, Kufel TJ. Endurance and strength training in patients with COPD. Chest. 2004;125(6):2036-45.

5. Bernard S, Whittom F, Leblanc P, Jobin J, Belleau R, Bérubé C, et al. Aerobic and strength training in patients with chronic obstructive pulmonary disease. Am J Respir Crit Care Med. 1999;159(3):896-901.

6. Jones PW. Interpreting thresholds for a clinically significant change in health status in asthma and COPD. Eur Respir J. 2002;19(3):398-404.

7. Souza TC, Jardim JR, Jones P. Validação do Questionário do Hospital Saint George na Doença Respiratória (SGRQ) em pacientes portadores de doença pulmonar obstrutiva crônica no Brasil. J Pneumol. 2000;26(3):119-28.

8. Mahler DA, Weinberg DH, Wells CK, Feinstein AR. The measurement of dyspnea. Contents, interobserver agreement, and physiologic correlates of two new clinical indexes. Chest. 1984;85(6):751-8.

9. Mahler DA, Harver A. A factor analysis of dyspnea ratings, respiratory muscle strength, and lung function in patients with chronic obstructive pulmonary disease. Am Rev Respir Dis. 1992;145(2 Pt 1):467-70.

10. Hajiro T, Nishimura K, Tsukino M, Ikeda A, Oga T, Izumi T. A comparison of the level of dyspnea vs disease severity in indicating the health-related quality of life of patients with COPD. Chest. 1999;116(6):1632-7.

11. Hajiro T, Nishimura K, Tsukino M, Ikeda A, Oga T. Stages of disease severity and factors that affect the health status of patients with chronic obstructive pulmonary disease. Respir Med. 2000;94(9):841-6.

12. Sociedade Brasileira de Pneumologia e Tisiologia. II Consenso brasileiro sobre doença pulmonar obstrutiva crônica - DPOC. J Bras Pneumol. 2004;30(Suppl. 5):S1-S42.

13. Standardization of Spirometry, 1994 Update. American Thoracic Society. Am J Respir Crit Care Med. 1995;152(3):1107-36.

14. Knudson RJ, Lebowitz MD, Holberg CJ, Burrows B. Changes in the normal maximal expiratory flow-volume curve with growth and aging. Am Rev Respir Dis. 1983;127(6):725-34.

15. Black LF, Hyatt RE. Maximal respiratory pressures: normal values and relationship to age and sex. Am Rev Respir Dis. 1969;99(5):696-702.

16. Kyle UG, Pichard C, Rochat T, Slosman DO, Fitting JW, Thiebaud D. New bioelectrical impedance formula for patients with respiratory insufficiency: comparison to dual-energy X-ray absorptiometry. Eur Respir J. 1998;12(4):960-6.

17. Schols AM, Soeters PB, Dingemans AM, Mostert R, Frantzen PJ, Wouters EF. Prevalence and characteristics of nutritional depletion in patients with stable COPD eligible for pulmonary rehabilitation. Am Rev Respir Dis. 1993;147(5):1151-6.

18. Martinez JAB, Padua AI. Dispnéia: novos conhecimentos sobre um velho problema. In: Sociedade Paulista de Pneumologia e Tisiologia, organizer. Pneumologia: atualização e reciclagem - volume IV. São Paulo: Vivali; 2001. p. 1-12.

19. American College of Sports Medicine. Diretrizes do ACSM para os testes de esforço e sua prescrição. Rio de Janeiro: Guanabara Koogan; 2008.

20. Mathiowetz V, Kashman N, Volland G, Weber K, Dowe M, Rogers S. Grip and pinch strength: normative data for adults. Arch Phys Med Rehabil. 1985;66(2):69-74.

21. Bruce RA, Kusumi F, Hosmer D. Maximal oxygen intake and nomographic assessment of functional aerobic impairment in cardiovascular disease. Am Heart J. 1973;85(4):546-62.

22. ATS Committee on Proficiency Standards for Clinical Pulmonary Function Laboratories. ATS statement: guidelines for the six-minute walk test. Am J Respir Crit Care Med. 2002;166(1):111-7.

23. Dourado VZ, Tanni SE, Antunes LC, Paiva SA, Campana AO, Renno AC, et al. Effect of three exercise programs on patients with chronic obstructive pulmonary disease. Braz J Med Biol Res. 2009;42(3):263-71.

24. Katsura H, Yamada K, Wakabayashi R, Kida K. The impact of dyspnoea and leg fatigue during exercise on health-related quality of life in patients with COPD. Respirology. 2005;10(4):485-90.

25. Nishiyama O, Taniguchi H, Kondoh Y, Kimura T, Ogawa T, Watanabe F, et al. Factors in maintaining long-term improvements in health-related quality of life after pulmonary rehabilitation for COPD. Qual Life Res. 2005;14(10):2315-21.

26. Laviolette L, Bourbeau J, Bernard S, Lacasse Y, Pepin V, Breton MJ, et al. Assessing the impact of pulmonary rehabilitation on functional status in COPD. Thorax. 2008;63(2):115-21.

27. Salman GF, Mosier MC, Beasley BW, Calkins DR. Rehabilitation for patients with chronic obstructive pulmonary disease: meta-analysis of randomized controlled trials. J Gen Intern Med. 2003;18(3):213-21.

28. Jones PW, Wijkstra PJ. Quality of life in patients with chronic obstructive pulmonary disease. Eur Respir Mon. 2006;38(1):375-86.

29. Mahler DA, Criner GJ. Assessment tools for chronic obstructive pulmonary disease: do newer metrics allow for disease modification? Proc Am Thorac Soc. 2007;4(7):507-11.

30. Lung Health Study Research Group. Effect of inhaled triamcinolone on the decline in pulmonary function in chronic obstructive pulmonary disease. N Engl J Med. 2000;343(26):1902-9.



Study carried out under the auspices of the Pulmonary Rehabilitation Program of the Universidade Estadual Paulista - UNESP, São Paulo State University - Botucatu School of Medicine, Botucatu, Brazil.
Correspondence to: Victor Zuniga Dourado. Departamento de Ciências da Saúde, Av. Almirante Saldanha da Gama, 89, CEP 11030-400, Santos, SP, Brasil.
Tel 55 13 3261-3324. E-mail: vzdourado@yahoo.com.br
Financial support: This study received financial support from the Conselho Nacional de Desenvolvimento Científico e Tecnológico (CNPq, National Council for Scientific and Technological Development).
Submitted: 16 February 2009. Accepted, after review: 21 May 2009.



About the authors

Victor Zuniga Dourado
Adjunct Professor. Universidade Federal de São Paulo - UNIFESP, Federal University of São Paulo - Baixada Santista Campus, Santos, Brazil.

Letícia Cláudia de Oliveira Antunes
Physical Therapist. Universidade Estadual Paulista - UNESP, São Paulo State University - Botucatu School of Medicine Hospital das Clínicas, Botucatu, Brazil.

Suzana Erico Tanni
Pulmonologist. Universidade Estadual Paulista - UNESP, São Paulo State University - Botucatu School of Medicine Hospital das Clínicas, Botucatu, Brazil.

Irma Godoy
Adjunct Professor. Department of Pulmonology, Universidade Estadual Paulista - UNESP, São Paulo State University - Botucatu School of Medicine, Botucatu, Brazil.

Indexes

Development by:

© All rights reserved 2025 - Jornal Brasileiro de Pneumologia