Continuous and bimonthly publication
ISSN (on-line): 1806-3756

Licença Creative Commons
22839
Views
Back to summary
Open Access Peer-Reviewed
Original Article

Broncodilatação na DPOC: muito além do VEF1-efeito do salbutamol nas propriedades resistivas e reativas do sistema respiratório

Bronchodilation in COPD: beyond FEV1-the effect of albuterol on resistive and reactive properties of the respiratory system

Gerusa Marítimo da Costa, Alvaro Camilo Dias Faria, Ana Maria Gonçalves Tavares Di Mango, Agnaldo José Lopes, José Manoel Jansen, Pedro Lopes de Melo

ABSTRACT

Objective: Current debates on the bronchodilator response in COPD patients and whether the variation in FEV1 can be considered as an indicator of complete reversibility in such patients motivated us to conduct this study. The objective of the study was to determine the effect of albuterol on the resistive and reactive properties of the respiratory system in COPD patients. Methods: We evaluated 70 patients with COPD, divided into two groups based on spirometry findings: bronchodilator (BD)-negative (n = 39); and BD-positive (n = 31). We used the forced oscillation technique (FOT) to evaluate the following parameters: resistance at the intercept (R0), associated with the total resistance of the respiratory system; mean resistance (Rm), associated with central airway resistance; dynamic compliance (Cdyn); and the slope of resistance (S) and mean reactance (Xm), both of which are associated with the homogeneity of the respiratory system. Results: The use of albuterol resulted in significant reductions in R0 (p < 0.00002) and Rm (p < 0.0002). There were also significant increases in S (p < 0.0001), Cdyn (p < 0.0001) and Xm (p < 0.00004). These modifications occurred in both groups, the changes in FOT parameters being greater than those observed for spirometric parameters. Conclusions: The use of albuterol improved the resistive and reactive properties of the respiratory system of the COPD patients under study. These changes occurred regardless of the FEV1-based classification, thereby indicating that the use of this parameter in isolation might not suffice to identify the physiological effects involved.

Keywords: Pulmonary disease, chronic obstructive; Bronchodilator agents; Spirometry; Albuterol.

RESUMO

Objetivo: Atualmente existem importantes debates na literatura sobre a resposta broncodilatadora em pacientes com DPOC e se a variação do VEF1 pode ser considerada uma indicação completa de reversibilidade neste caso particular. O objetivo deste estudo foi investigar o efeito do salbutamol nas propriedades resistivas e elásticas do sistema respiratório de portadores de DPOC. Métodos: Foram avaliados 70 indivíduos com DPOC, classificados através da espirometria em dois grupos: broncodilatador (BD)-negativo (n = 39); e BD-positivo (n = 31). Utilizou-se a técnica de oscilações forçadas (TOF) para avaliar os seguintes parâmetros: a resistência no intercepto (R0), associada à resistência total do sistema respiratório; a resistência média (Rm), relacionada à resistência de vias aéreas centrais; e a complacência dinâmica (Cdyn); assim como o coeficiente angular da resistência (S) e a reatância média (Xm), relacionados com a homogeneidade do sistema respiratório. Resultados: O uso do salbutamol resultou em reduções significativas de R0 (p < 0,00002) e Rm (p < 0,0002). Foram também observadas elevações significativas em S (p < 0,0001), Cdyn (p < 0,0001) e Xm (p < 0,00004). Estas alterações ocorreram tanto nos dois grupos, tendo sido observadas maiores modificações nos parâmetros da TOF do que nos parâmetros da espirometria. Conclusões: O uso de salbutamol melhorou o comportamento dos componentes resistivos e reativos do sistema respiratório dos pacientes com DPOC estudados. Estas mudanças ocorreram independentemente da classificação do exame empregando o VEF1, o que indica que a utilização deste parâmetro isoladamente pode não ser suficiente para identificar completamente os efeitos fisiológicos envolvidos.

Palavras-chave: Doença pulmonar obstrutiva crônica; Broncodilatadores; Espirometria; Salbutamol.

Introdução

Tradicionalmente, a avaliação da reversibilidade aguda em resposta à inalação de um broncodilatador é realizada pela espirometria, particularmente pela variação do VEF1(1-3) e pela CVF.(4) Nos últimos anos, alguns estudos demonstraram que os aumentos da capacidade vital e da capacidade inspiratória refletem uma redução do volume residual em DPOC, o que se correlaciona com melhora da dispneia e do desempenho no exercício, mesmo na ausência de melhora do VEF1.(5,6)

Portanto, a variação do VEF1 pode não ser uma indicação completa como critério de reversibilidade neste caso particular.(7) Na verdade, ainda não existe um consenso na literatura sobre qual seria a melhor técnica para se avaliar o efeito da administração de medicação broncodilatadora em pacientes com DPOC.(1) Estudos usando técnicas como a pletismografia(8,9) e a técnica de oscilações forçadas (TOF)(10) mostraram melhoras na função pulmonar.

Outra controvérsia se refere à efetividade do agente broncodilatador em pacientes com DPOC.(11-13) Estudos anteriores demonstraram que muitos pacientes com DPOC apresentam significativa reversibilidade ao broncodilatador.(11,13) Dois autores também reportaram responsividade ao broncodilatador.(14) Por outro lado, estudos clínicos usando os sintomas como escores indicaram que o broncodilatador proporciona um benefício clínico aos pacientes com DPOC.(15) Esta aparente discrepância entre os resultados clínicos e os parâmetros de função pulmonar pode estar relacionada à técnica usada para avaliar o efeito da medicação. A espirometria demanda a utilização de uma inspiração profunda durante a realização dos exames. Esta manobra pode alterar o tônus das vias aéreas,(2,16) influenciando os resultados dos ensaios.

Adicionalmente, drogas broncodilatadoras podem melhorar a mecânica respiratória de pacientes com DPOC mesmo na presença de pequenas alterações de VEF1, como, por exemplo, devido ao decréscimo da hiperinsuflação pulmonar.(2,3) Outro fator importante é que os broncodilatadores podem apresentar ação não apenas nas vias aéreas, mas também em outros componentes pulmonares. Desta maneira, uma técnica de mensuração que permita uma avaliação abrangente da mecânica respiratória pode contribuir na investigação dos efeitos da utilização de medicação broncodilatadora, aumentando nossa compreensão sobre os efeitos terapêuticos da utilização de broncodilatadores na DPOC.

A TOF apresenta como principais vantagens demandar pouca cooperação por parte do indivíduo e fornecer parâmetros complementares à espirometria. A técnica se baseia na aplicação de oscilações de pressão de baixa amplitude ao sistema respiratório de um indivíduo respirando espontaneamente, sendo que a medição da pressão e do fluxo correspondente permite a estimativa da impedância respiratória. Trabalhos recentes mostram que os novos parâmetros obtidos por meio da TOF permitem uma análise detalhada do sistema respiratório, contribuindo para um melhor entendimento da fisiopatologia envolvida, avaliando respostas à terapia e otimizando o tratamento.(17,18)

Cabe ressaltar que, no caso particular de estudos da resposta broncodilatadora em pacientes com DPOC, a TOF apresenta a vantagem de descrever as características do sistema respiratório como um todo, incluindo as vias aéreas, o pulmão e a parede torácica.

Embora a TOF seja promissora na avaliação dos efeitos da utilização de medicação broncodilatadora em pacientes portadores de DPOC, apenas dois estudos sobre o assunto se encontram disponíveis na literatura.
(10,19) Alguns estudos foram realizados empregando a técnica de impulso oscilométrico.(2,3) Porém, esta técnica apresenta diferenças em relação ao sistema clássico empregado na TOF, incluindo o processamento dos dados e os parâmetros utilizados na interpretação dos resultados.(16,20) No melhor do conhecimento atual dos autores, não existem estudos investigando o efeito de broncodilatador em pacientes com DPOC apresentando diferentes respostas ao exame espirométrico.

Desta maneira, o presente trabalho teve como objetivo investigar, por meio da TOF, o efeito do salbutamol nas propriedades resistivas e reativas do sistema respiratório de grupos de pacientes portadores de DPOC-com e sem reversibilidade ao exame espirométrico.

Métodos

Foram avaliados indivíduos provenientes do ambulatório de DPOC do Hospital Universitário Pedro Ernesto (HUPE), na cidade do Rio de Janeiro. Os pacientes foram avaliados consecutivamente e classificados em dois grupos, de acordo com o teste de resposta broncodilatadora. O primeiro grupo foi composto por indivíduos com resposta broncodilatadora, identificada com base na presença de variação do VEF1 de 12% e 200 mL e/ou da CVF de 350 mL, previstos após o uso de 300 µg de salbutamol inalatório.(21) Este grupo foi denominado "BD-positivo". O segundo grupo incluiu indivíduos sem resposta broncodilatadora, conforme os critérios da Sociedade Brasileira de Pneumologia e Tisiologia,(21) e foi denominado "BD-negativo". Foi solicitado aos pacientes que se abstivessem do uso de broncodilatadores de ação curta por 6 h e de broncodilatadores de ação longa por 12 h. Os pacientes avaliados se encontravam em condições clínicas estáveis. Foram excluídos do estudo pacientes com asma, sinusite e rinite, ou que tiveram TB, pneumonia e infecções respiratórias nas 3 semanas anteriores à realização do teste, assim como aqueles que não realizassem adequadamente os testes de espirometria ou a TOF. A exclusão do diagnóstico de asma foi feita por meio da análise da história clinica dos pacientes. O presente estudo foi aprovado pelo Comitê de Ética do HUPE e seguiu as especificações da Declaração de Helsinki. Todos os indivíduos realizaram as provas de função pulmonar após a assinatura de um formulário de consentimento esclarecido.

Durante a inclusão dos pacientes, de modo a evitar os efeitos da manobra de inspiração profunda sobre as vias aéreas, os pacientes eram inicialmente avaliados através da TOF. Em seguida, era realizada a espirometria e a administração do broncodilatador. Depois de decorridos 15 min, os indivíduos eram avaliados novamente pela TOF e pela espirometria.

O sistema utilizado para as análises da TOF aplica sinais senoidais de pressão com ­frequências múltiplas inteiras de 2 Hz na faixa compreendida entre 4 e 32 Hz. A medição da pressão aplicada e do fluxo resultante permite estimar a impedância respiratória por meio da análise de Fourier.(16,17,22) Para a avaliação da resposta broncodilatadora pela TOF, foram utilizados os parâmetros provenientes das curvas de resistência e reatância do sistema respiratório. Através da regressão linear da curva de resistência, efetuada na faixa de frequência de 4 a 16 Hz, foi obtida a resistência no intercepto (R0) e o coeficiente angular da resistência (S), além da resistência média compreendida entre 4 a 16 Hz (Rm). A R0 está associada à resistência total, S se relaciona com a homogeneidade do sistema respiratório, enquanto Rm está associada à resistência de vias aéreas centrais.(16,17,22) Através da reatância obtida em 4 Hz, foi calculada a dynamic compliance (Cdyn, complacência dinâmica) do sistema respiratório (Cdyn = −1/2ω × f × Xrs, 4Hz), sendo também obtida a reatância média (Xm), que está associada à homogeneidade do sistema respiratório.

Durante o exame, os indivíduos foram posicionados em frente ao aparelho, acoplados a este por um bocal de silicone, respirando ao nível da capacidade residual funcional, utilizando um clipe nasal e tendo as bochechas suportadas com as duas mãos visando minimizar o efeito shunt.(17,19) Foram realizados 3 ensaios consecutivos, cada um com aproximadamente 16 s de duração, obtendo-se a média como resultado final. A função de coerência mínima utilizada para aceitação dos resultados foi de 0,9.(16,22)

Em seguida, foram avaliados pela espirometria os parâmetros VEF1, VEF1% (percentual do previsto), CVF e FEF25-75% (percentual do previsto), que foram mensurados por um espirômetro de fole (modelo Vitatrace VT 130 SL; Pro Médico Ind Ltda., Rio de Janeiro, Brasil) de acordo com as especificações técnicas da American Thoracic Society e de outros autores.(23,24)

A administração de medicação broncodilatadora foi efetuada por meio da inalação de três puffs de salbutamol, com 100 µg cada, utilizando um espaçador bocal, com um intervalo de 1 min para cada dose , resultando em um total administrado de 300 µg.

Os resultados são apresentados como média ± dp. A elaboração dos gráficos e as análises estatísticas foram efetuadas por meio dos programas ORIGIN 6.0 (OriginLab, Northhampton, MA, EUA) e STATISTICA 5.0 (StatSoft Inc., Tulsa, OK, EUA). O teste t de Student pareado foi empregado quando os parâmetros apresentavam distribuição normal, e o teste de Wilcoxon foi utilizado quando os parâmetros não seguiram esta distribuição. As alterações foram consideradas significativas quando o nível de significância foi menor que 0,05.

Resultados

As características antropométricas dos grupos estudados estão descritas na Tabela 1. Não foram observadas diferenças significativas entre os parâmetros nos grupos estudados.



No grupo BD-positivo, foram observadas elevações significativas em todos os parâmetros espirométricos estudados (Tabela 2). As comparações no grupo BD-negativo mostraram alterações com menor significância estatística, sendo que as alterações em VEF1(%) não foram significativas.




No grupo BD-negativo, os valores das diferenças e as variações percentuais dos parâmetros espirométricos foram menores do que os associados ao grupo BD-positivo (Tabela 3).





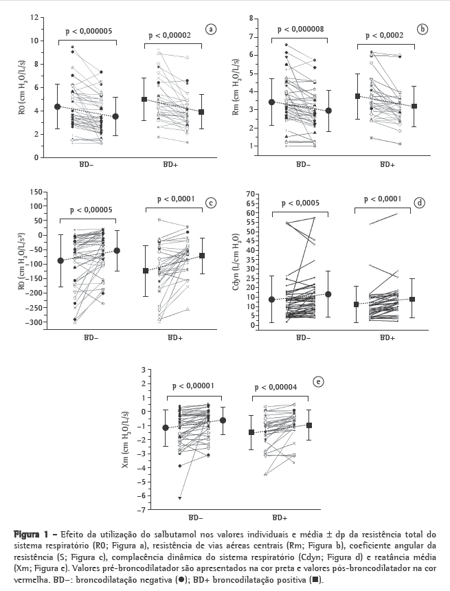
A Figura 1 mostra as variações nos parâmetros da TOF. A utilização do broncodilatador resultou em reduções significativas (p < 0,0002) em R0 e Rm em todas as condições estudadas. Praticamente todos os indivíduos analisados apresentaram redução nos parâmetros citados (Figuras 1a e 1b). O parâmetro S apresentou elevação significativa (p < 0,0001) com o uso da medicação broncodilatadora (Figura 1c), sendo que a grande maioria dos pacientes apresentou valores mais positivos após o uso do broncodilatador. Um fato similar foi observado na análise dos parâmetros reativos Cdyn (Figura 1d) e Xm (Figura 1e), resultando em elevações significativas destes parâmetros (p < 0,0005 e p < 0,0004, respectivamente).



A variação dos parâmetros associados à TOF nos dois grupos foi similar (Tabela 4).



Discussão

Atualmente existe um importante debate na literatura sobre a resposta broncodilatadora em pacientes com DPOC. Em um trabalho muito recente, efetuado com 5.756 pacientes com DPOC,(13) demonstrou-se que mais da metade dos pacientes preenchiam os critérios mais comuns para a presença de resposta broncodilatadora. Em um editorial comentando a pesquisa citada,(12) ressaltou-se que estes resultados contrariam o conceito atualmente estabelecido de que a função pulmonar em pacientes com DPOC é amplamente irreversível. Os autores sugeriram que este conceito deveria ser reavaliado.

Existem indicações de que os medicamentos broncodilatadores podem melhorar a mecânica pulmonar em pacientes com DPOC, apesar da pequena variação do VEF1.(2) O VEF1 é a medida mais empregada em estudos clínicos de broncodilatação em pacientes com DPOC, uma vez que é uma medida simples, reprodutível e de baixo custo.(5) No entanto, a utilização do VEF1 nestes estudos apresenta limitações, como a possibilidade de introduzir alterações no calibre das vias aéreas,(16)
assim como o fato de que estas medidas não apresentam boa correlação com a capacidade ao exercício e dispneia.(5) Alguns autores ressaltaram que o VEF1 é muitas vezes insensível a alterações fisiológicas importantes na mecânica pulmonar, como as causadas pelo decréscimo da hiperinsuflação.(3) Adicionalmente, as variações de VEF1 decorrentes da terapia com broncodilatadores não são capazes de descrever a melhora de sintomas e o aumento na capacidade ao exercício.(1,5) Outros autores demonstraram que muitos pacientes com DPOC, mesmo sem melhora no VEF1 após o uso de broncodilatador, apresentavam melhora clínica e alívio da dispneia.(25) Em um estudo recente,(26) por outro lado, demonstrou-se que os portadores de DPOC com ausência de resposta ao VEF1 podem apresentar uma melhora significativa da função pulmonar após a administração de formoterol. Um autor ressaltou que a avaliação da eficiência terapêutica do uso de medicação broncodilatadora em pacientes com DPOC, apenas com base em medidas de VEF1, pode levar a subestimar o real beneficio clinico oferecido a estes pacientes.(1) O mesmo autor propõe a elaboração de novos índices que permitam aumentar nossa habilidade em avaliar o benefício clinico da terapia com broncodilatadores em pacientes com DPOC.

Neste contexto, visando contribuir para elucidar a questão sobre os efeitos do salbutamol em pacientes portadores de DPOC, o presente trabalho analisou as alterações nas propriedades resistivas e elásticas do sistema respiratório de pacientes com resposta positiva e com resposta negativa ao exame espirométrico.

O maior número de homens nos dois grupos estudados (Tabela 1) pode ser explicado pela maior incidência de tabagismo no sexo masculino na faixa etária do estudo. O comportamento apresentado pelo grupo BD-positivo (Tabelas 2 e 3) já era esperado, tendo em vista os critérios de seleção neste grupo,(21) sendo obtidos aumentos médios de 260 mL (22%) no VEF1 e de 470 mL na CVF. Por outro lado, as alterações espirométricas observadas no grupo BD-negativo, mesmo sendo significativas, não alcançaram os critérios para classificação como resposta broncodilatadora positiva. Note a presença de um aumento de 50 mL (4%) no VEF1 e de 70 mL na CVF (Tabela 3).

Alguns autores afirmaram que a broncodilatação em pacientes com DPOC causa aumento no diâmetro das vias aéreas, o que resulta em diminuição da resistência desta seção do sistema respiratório.(2) Essa afirmativa pode explicar em parte a diminuição significativa encontrada nos parâmetros R0 e Rm após o uso de broncodilatador. Ao contrário dos resultados apresentados nas Figuras 1a e 1b, outros autores não observaram um decréscimo significativo dos valores de resistência após o uso do broncodilatador.(10) Esta diferença nos resultados pode ser ­explicada pela diferença entre as faixas de frequência empregadas nos instrumentos utilizados nos dois estudos. Enquanto em outro estudo(10) utilizou-se uma faixa de frequência compreendida entre 12 e 52 Hz, o instrumental utilizado no presente trabalho empregou uma faixa entre 4 e 32 Hz. Atualmente se sabe que a obstrução é avaliada com maior acurácia em frequências baixas, principalmente na faixa até 16 Hz.(16-18,22) Desta maneira, a faixa de frequência empregada no estudo acima citado pode não ter sido suficiente para identificar os efeitos do broncodilatador na obstrução respiratória.

A Figura 1c descreve as alterações em S. Este parâmetro descreve a heterogeneidade das propriedades mecânicas em diferentes áreas dos pulmões.(17,18) A utilização do broncodilatador diminuiu o valor de S em todos os indivíduos estudados, o que pode espelhar a redução da impedância do sistema respiratório destes indivíduos(19) e/ou uma tendência à melhora na homogeneidade do sistema. Embora, com uso do salbutamol, o S tenha sido reduzido, este ainda se apresentou negativo nos dois grupos, indicando que nem todos os desequilíbrios nas constantes de tempo foram eliminados com o uso do broncodilatador. Foram observados valores mais negativos de S no grupo BD-positivo do que no grupo BD-negativo, indicando a presença de uma maior não homogeneidade no grupo BD-positivo. Em concordância com os resultados apresentados na Figura 1c, alguns autores mensuraram a impedância respiratória antes e depois da inalação do isoproterenol em um sujeito com DPOC, observando uma mudança marcante em S, caracterizada pela reversão deste parâmetro para o padrão normal.(27)

A reatância do sistema respiratório recebe contribuição de dois componentes: inertância e Cdyn, sendo esta última dominante em baixas frequências. A Cdyn se reduz com a obstrução das vias aéreas e com a não-homogeneidade do sistema respiratório. Antes da utilização do salbutamol, foram observados valores reduzidos de Cdyn (Figura 1d), resultados coerentes com os obtidos em estudos anteriores com indivíduos com DPOC(24) e asma.(16) A Cdyn aumentou após a utilização do broncodilatador, apresentando alterações significativas tanto no grupo BD-negativo quanto no grupo BD-positivo. De acordo com alguns autores,(28) o broncodilatador atua melhorando a complacência da parede das vias aéreas e relaxando a musculatura lisa dos brônquios, fato que poderia explicar a melhora da Cdyn. Outros autores mostraram um aumento da Cdyn após o uso do salbutamol em pacientes com obstrução (18 com asma e 20 com DPOC).(29) A mudança da complacência reflete ­principalmente eventos ocorridos na periferia das vias aéreas. Sendo assim, o aumento da ­complacência provavelmente reflete a melhoria da expansibilidade pulmonar, associada à dilatação das vias aéreas periféricas. Esse aumento resulta na melhora da homogeneidade pulmonar após a inalação do salbutamol.(29) Por outro lado, a broncodilatação em pequenas vias aéreas causa diminuição da hiperinsuflação, conduzindo à melhora da complacência pulmonar.(2)

Os resultados apresentados na Figura 1e mostram que a Xm aumentou após a administração de salbutamol inalatório. Em concordância com estes resultados, os valores de reatância se tornaram mais positivos após o uso de salbutamol em um estudo realizado em um único paciente com DPOC.(27) Outros autores,(10) estudando 20 pacientes com DPOC, também observaram um aumento significativo da reatância após o uso de salbutamol. Este aumento pode ser explicado pela elevação da complacência das vias aéreas e pela diminuição da resistência periférica. O aumento da Xm observada no presente estudo é coerente com o comportamento da reatância medida em 5 Hz em um estudo,(2) no qual os autores relacionaram a melhora da reatância à broncodilatação de pequenas vias aéreas, causando uma redução na obstrução e resultando em melhora da complacência pulmonar.

A broncodilatação em pacientes com DPOC causa um aumento no diâmetro das vias aéreas, aumentando a capacidade expiratória, com consequente aumento do VEF1.(2) O aumento da resposta broncodilatadora pode estar associado com o aumento da susceptibilidade para DPOC ou com o início precoce do hábito tabágico por sujeitos susceptíveis. Mecanicamente, o tônus da musculatura lisa da via aérea pode estar aumentado na DPOC, o que pode explicar o componente reversível da obstrução da via aérea nestes indivíduos.(30)

Na verdade, a broncodilatação em pacientes com DPOC causa alterações complexas na fisiologia pulmonar, sendo que a espirometria e a TOF avaliam diferentes aspectos destas alterações. Enquanto a espirometria permite a análise dos volumes e fluxos expirados, a TOF fornece parâmetros relacionados à resistência e à reatância do sistema respiratório, complementando a análise oferecida pela espirometria.
Os resultados encontrados em pacientes com DPOC e ausência de resposta broncodilatadora ao salbutamol inalatório pelo teste espirométrico são coerentes com a afirmativa de alguns autores(19) de que pacientes com DPOC, cuja limitação ao fluxo aéreo era classificada como irreversível com base na resposta aguda de VEF1, podem beneficiar-se com a inalação de salbutamol. A eficácia do β-agonista na DPOC pode ser explicada pela maior broncodilatação, atuando adicionalmente no epitélio pulmonar, inibindo a proliferação de células na musculatura lisa da via aérea, e na liberação de mediadores inflamatórios. Atua também na estimulação do transporte mucociliar, na citoproliferação da mucosa respiratória, com diminuição da ativação e do recrutamento dos neutrófilos, e nos músculos respiratórios, podendo contribuir para a eficácia clínica global na DPOC. Seu uso também está associado à melhoria da qualidade de vida, reduzindo o número de exacerbações e a gravidade da doença, possibilitando um impacto positivo no custo global no cuidado com a saúde desses pacientes.(15)

Os resultados apresentados indicam que a utilização de salbutamol em pacientes portadores de DPOC introduz alterações na mecânica respiratória relacionadas a mudanças no comportamento dos componentes resistivos e reativos. Foram observadas reduções nos parâmetros associados à resistência total e nas vias aéreas, assim como uma melhoria nos parâmetros relacionados à homogeneidade e à Cdyn do sistema respiratório. Estas mudanças ocorrem independentemente da classificação do exame empregando o VEF1, o que indica que a utilização deste parâmetro isoladamente pode não ser suficiente para identificar todos os efeitos fisiológicos envolvidos. Estes resultados podem contribuir para elucidar a recente discussão em torno da resposta broncodilatadora em pacientes com DPOC.

Estudos adicionais são necessários para avaliar a relação entre as alterações dos parâmetros de TOF decorrentes do uso de salbutamol em indivíduos com DPOC, a resposta ao exercício e os sintomas clínicos nestes pacientes, tais como a melhora da dispneia, a redução do volume residual e a melhora da qualidade de vida.

Agradecimentos

Os autores agradecem aos médicos Arnaldo José Noronha Filho e Margareth Martins Gomes da equipe do Serviço de Pneumologia do HUPE a indicação dos voluntários.

Referências

1. Lavorini F. Quantifying bronchodilator responses in chronic obstructive pulmonary disease trials. Br J Clin Pharmacol. 2005;59(4):385-6.

2. Borrill ZL, Houghton CM, Woodcock AA, Vestbo J, Singh D. Measuring bronchodilation in COPD clinical trials. Br J Clin Pharmacol. 2005;59(4):379-84.

3. Borrill ZL, Houghton CM, Tal-Singer R, Vessey SR, Faiferman I, Langley SJ, et al. The use of plethysmography and oscillometry to compare long-acting bronchodilators in patients with COPD. Br J Clin Pharmacol. 2008;65(2):244-52.

4. Pereira CA. Espirometria. J Pneumol. 2002;28(Suppl 3): S1-S82.

5. O'Donnell DE, Revill SM, Webb KA. Dynamic hyperinflation and exercise intolerance in chronic obstructive pulmonary disease. Am J Respir Crit Care Med. 2001;164(5):770-7.

6. Schermer T, Heijdra Y, Zadel S, van den Bemt L, Boonman-de Winter L, Dekhuijzen R, et al. Flow and volume responses after routine salbutamol reversibility testing in mild to very severe COPD. Respir Med. 2007;101(6):1355-62.

7. Tantucci C, Duguet A, Similowski T, Zelter M, Derenne JP, Milic-Emili J. Effect of salbutamol on dynamic hyperinflation in chronic obstructive pulmonary disease patients. Eur Respir J. 1998;12(4):799-804.

8. Cerveri I, Pellegrino R, Dore R, Corsico A, Fulgoni P, van de Woestijne KP, et al. Mechanisms for isolated volume response to a bronchodilator in patients with COPD. J Appl Physiol. 2000;88(6):1989-95.

9. O'Donnell DE, Forkert L, Webb KA. Evaluation of bronchodilator responses in patients with "irreversible" emphysema. Eur Respir J. 2001;18(6):914-20.

10. Wouters EF, Verschoof AC, Polko AH, Visser BF. Impedance measurements of the respiratory system before and after salbutamol in COPD patients. Respir Med. 1989;83(4):309-13.

11. Jansen JM. Reatividade brônquica: resposta broncodilatadora na asma e na doença pulmonar obstrutiva crônica. Rio de Janeiro: Academia Nacional de Medicina; 1996.

12. Soriano JB, Mannino DM. Reversing concepts on COPD irreversibility. Eur Respir J. 2008;31(4):695-6.

13. Tashkin DP, Celli B, Decramer M, Liu D, Burkhart D, Cassino C, et al. Bronchodilator responsiveness in patients with COPD. Eur Respir J. 2008;31(4):742-50.

14. Vestbo J, Hansen EF. Airway hyperresponsiveness and COPD mortality. Thorax. 2001;56 Suppl 2:ii11-4.

15. Johnson M, Rennard S. Alternative mechanisms for long-acting beta(2)-adrenergic agonists in COPD. Chest. 2001;120(1):258-70.

16. Cavalcanti JV, Lopes AJ, Jansen JM, Melo PL. Using the forced oscillation technique to evaluate bronchodilator response in healthy volunteers and in asthma patients presenting a verified positive response. J Bras Pneumol. 2006;32(2):91-8.

17. Melo PL, Werneck MM, Gianella-Neto A. Avaliação da mecânica ventilatória por oscilações forçadas: fundamentos e aplicações clínicas. J Pneumol. 2000;26(4):194-206.

18. Oostveen E, MacLeod D, Lorino H, Farré R, Hantos Z, Desager K, et al. The forced oscillation technique in clinical practice: methodology, recommendations and future developments. Eur Respir J. 2003;22(6):1026-41.

19. Zerah F, Lorino AM, Lorino H, Harf A, Macquin-Mavier I. Forced oscillation technique vs spirometry to assess bronchodilatation in patients with asthma and COPD. Chest. 1995;108(1):41-7.

20. Hellinckx J, Cauberghs M, De Boeck K, Demedts M. Evaluation of impulse oscillation system: comparison with forced oscillation technique and body plethysmography. Eur Respir J. 2001;18(3):564-70.

21. Sociedade Brasileira de Pneumologia e Tisiologia. Diretrizes para testes de função pulmonar. J Pneumol. 2002;28(Suppl 3):S1-S238.

22. Di Mango AM, Lopes AJ, Jansen JM, Melo PL. Changes in respiratory mechanics with increasing degrees of airway obstruction in COPD: detection by forced oscillation technique. Respir Med. 2006;100(3):399-410.

23. Knudson RJ, Lebowitz MD, Holberg CJ, Burrows B. Changes in the normal maximal expiratory flow-volume curve with growth and aging. Am Rev Respir Dis. 1983;127(6):725-34.

24. Pereira CA, Barreto SP, Simões JG, Pereira FW, Gerstler JG, Nakatani J. Valores de referência para espirometria em uma amostra da população brasileira adulta. J Pneumol. 1992;18(1):10-22.

25. Tavares FM, Silva LC, Rubin AS. Measuring forced expiratory volume in one second alone is not an accurate method of assessing response to bronchodilators in chronic obstructive pulmonary disease. J Bras Pneumol. 2005;31(5):407-14.

26. Rubin AS, Souza FJ, Hetzel JL, Moreira JS. Immediate bronchodilator response to formoterol in poorly reversible chronic obstructive pulmonary disease. J Bras Pneumol. 2008;34(6):373-9.

27. Michaelson ED, Grassman ED, Peters WR. Pulmonary mechanics by spectral analysis of forced random noise. J Clin Invest. 1975;56(5):1210-30.

28. Delacourt C, Lorino H, Herve-Guillot M, Reinert P, Harf A, Housset B. Use of the forced oscillation technique to assess airway obstruction and reversibility in children. Am J Respir Crit Care Med. 2000;161(3 Pt 1):730-6.

29. Lorino AM, Zerah F, Mariette C, Harf A, Lorino H. Respiratory resistive impedance in obstructive patients: linear regression analysis vs viscoelastic modelling. Eur Respir J. 1997;10(1):150-5.

30. Palmer LJ, Celedón JC, Chapman HA, Speizer FE, Weiss ST, Silverman EK. Genome-wide linkage analysis of bronchodilator responsiveness and post-bronchodilator spirometric phenotypes in chronic obstructive pulmonary disease. Hum Mol Genet. 2003;12(10):1199-210. Erratum in: Hum Mol Genet. 2003;12(16):2085.



Sobre os autores

Gerusa Marítimo da Costa
Fisioterapeuta. Universidade do Estado do Rio de Janeiro, Rio de Janeiro (RJ) Brasil.

Alvaro Camilo Dias Faria
Pesquisador. Universidade do Estado do Rio de Janeiro, Rio de Janeiro (RJ) Brasil.

Ana Maria Gonçalves Tavares Di Mango
Professora. Faculdade Ubaense Ozanam Coelho, Ubá (MG) Brasil.

Agnaldo José Lopes
Professor. Faculdade Ubaense Ozanam Coelho, Ubá (MG) Brasil.

José Manoel Jansen
Professor Titular. Universidade do Estado do Rio de Janeiro, Rio de Janeiro (RJ) Brasil.

Pedro Lopes de Melo
Professor Adjunto. Universidade do Estado do Rio de Janeiro, Rio de Janeiro (RJ) Brasil.


* Trabalho realizado na Universidade do Estado do Rio de Janeiro, Rio de Janeiro (RJ) Brasil.
Endereço para correspondência: Pedro Lopes de Melo. Instituto de Biologia, Universidade do Estado do Rio de Janeiro, Rua São Francisco Xavier, 524, Pavilhão Haroldo Lisboa da Cunha, Térreo, Sala 104, CEP 20550-013, Rio de Janeiro, RJ, Brasil.
Tel 55 21 2587-7773. Fax 55 21 2587-7760. E-mail: plopes@uerj.br
Apoio financeiro: Este estudo recebeu apoio financeiro do Conselho Nacional de Desenvolvimento Científico e Tecnológico (CNPq) e da Fundação de Amparo à Pesquisa do Estado do Rio de Janeiro (FAPERJ).
Recebido para publicação em 20/6/2008. Aprovado, após revisão, em 15/9/2008.

Indexes

Development by:

© All rights reserved 2025 - Jornal Brasileiro de Pneumologia