ABSTRACT
Objective: To investigate the effects of airway obstruction on albuterol-mediated variations in the resistive and elastic properties of the respiratory system of adult patients with asthma. Methods: This study comprised 24 healthy controls and 69 patients with asthma, all of whom were nonsmokers. The patients were divided into three groups according to the severity of airway obstruction (mild, moderate or severe). Each of the three groups was divided into two subgroups according to the bronchodilator response (BR): positive (BR+) or negative (BR−). These measurements were conducted before and after albuterol use (300 µg). Airway obstruction was determined by means of spirometry, and the resistive and elastic properties were determined by means of the forced oscillation technique. Results: The resistance at the intercept (R0) presented greater reductions in the groups with higher obstruction. This reduction was more evident in the BR+ subgroups than in the BR− subgroups (p < 0.02 and p < 0.03, respectively). There was a significant difference between the control group and the BR+ subgroup with severe obstruction (p < 0.002). The reductions in dynamic elastance (Edyn) were significantly greater in proportion to the degree of obstruction, in the BR− subgroups (p < 0.03), and in the BR+ subgroups (p < 0.003). The reductions in Edyn were significantly greater in the BR− subgroup with moderate obstruction (p < 0.008) and in the BR+ subgroup with severe obstruction (p < 0.0005) than in the control group. Conclusions: In patients with asthma, increased airway obstruction results in greater reductions in R0 and Edyn after albuterol use. These reductions are greater among BR+ patients than among BR− patients.
Keywords:
Asthma; Bronchodilator agents; Respiratory mechanics; Spirometry; Albuterol.
RESUMO
Objetivo: Investigar os efeitos da obstrução de vias aéreas nas variações das propriedades resistivas e elásticas do sistema respiratório de asmáticos adultos mediadas pelo uso de salbutamol. Métodos: Foram analisados 24 indivíduos controles e 69 asmáticos, todos não tabagistas, divididos em três grupos segundo o nível de obstrução de vias aéreas (leve, moderada e acentuada). Cada grupo foi dividido em dois subgrupos de acordo com a resposta broncodilatadora: resposta broncodilatadora positiva (RB+) ou negativa (RB−). A espirometria foi utilizada para a avaliação da obstrução, e a técnica de oscilações forçadas, para a análise das propriedades resistivas e elásticas, sendo realizadas antes e após a utilização de 300 µg de salbutamol. Resultados: A resistência no intercepto (R0) apresentou maior redução nos grupos com maior obstrução. Essa redução foi mais evidente nos subgrupos RB+ do que nos RB− (p < 0,02 e p < 0,03, respectivamente). Houve diferença significativa entre o grupo controle e a o subgrupo com obstrução acentuada RB+ (p < 0,002). As reduções na elastância dinâmica (Edyn) se acentuaram significativamente com a obstrução, tanto para os subgrupos RB− (p < 0,03), quanto para os RB+ (p < 0,003). As reduções da Edyn foram significativamente maiores nos subgrupos com obstrução moderada RB− (p < 0,008) e com obstrução acentuada RB+ (p < 0,0005) do que no grupo controle. Conclusões: Em asmáticos, o aumento da obstrução de vias aéreas resulta na elevação das variações em R0 e Edyn com o uso de salbutamol. Pacientes com RB+ apresentam variações mais elevadas que indivíduos com RB−.
Palavras-chave:
Asma; Broncodilatadores; Mecânica respiratória; Espirometria; Albuterol.
IntroductionA bronchodilator response is a marked characteristic of asthma; however, it might not be present in all tests performed.(1) The parameters used to analyze bronchodilator response should allow the identification of reduced airway resistance as a result of decreased bronchial muscle tone. This reduction is usually evaluated indirectly by analyzing the flows and volumes obtained through spirometry.
The forced oscillation technique (FOT) allows the estimation of parameters that translate the resistive and relative properties of the respiratory system. The FOT requires only passive cooperation, is performed during spontaneous breathing and provides new parameters for analysis.(2-4) Although the potential for use of the FOT in the study of the pathophysiology of bronchodilator response in asthma patients is high, relatively few studies have investigated that potential.(5-9) Such studies have demonstrated that the parameters obtained using the FOT allow adequate identification of reduced muscle tone and, consequently, of reduced airway resistance as a result of bronchodilator testing in adult patients with asthma. Our study group has recently reported results regarding the analysis of bronchodilator response using the FOT in asthma patients presenting such a response.(10) The results presented in that studies raised the following question: Are bronchodilator-mediated changes in the resistive and elastic properties of the respiratory system dependent on the basal level of bronchial obstruction? This is a question of great interest that, to the best of our knowledge, has yet to be addressed.
Therefore, in continuation of the previous study conducted by our group and published in this journal,(10) the purpose of the present study was to contribute to the understanding of bronchodilator response in adult patients with asthma. To that end, the influence that the basal level of airway obstruction has on resistive and elastic alterations resulting from bronchodilator testing in adult asthma patients was investigated.
MethodsThe present study was approved by the Research Ethics Committee of the Pedro Ernesto University Hospital and was conducted in accordance with the Helsinki Declaration criteria.(11) The study protocol was applied only after all volunteers had given written informed consent. The tests were performed in the Pulmonary Function Laboratory of the Rio de Janeiro State University, in the city of Rio de Janeiro, Brazil. Data processing and statistical analysis were performed at the Rio de Janeiro State University Laboratory of Biomedical Instrumentation.
We evaluated 69 never-smoking patients with asthma.(12,13) The patients were divided into three groups, according to the obstructive disorder classification proposed by Jansen(14): mild obstruction (n = 28); moderate obstruction (n = 22); and severe obstruction (n = 19). Each of the three groups was divided into two subgroups, based on bronchodilator response: positive (BR+); or negative (BR−). Of the 28 patients in the mild obstruction group, 7 were classified as BR+ and 21 were classified as BR−. Of the 22 patients in the moderate obstruction group, 13 were classified as BR+ and 9 were classified as BR−. Of the 19 patients in the severe obstruction group, 9 were classified as BR+ and 10 were classified as BR−. The control group comprised 24 never-smoking individuals with no history of cardiovascular disease or pulmonary disease and with normal spirometric values.
The following closed-circuit equipment was used in performing the spirometry tests(15,16): Vitatrace VT 130 SL (Pro Médico Ind Ltda., Rio de Janeiro, Brazil); and Collins/GS (Warren E. Collins, Inc., Braintree, MA, USA). The instrument used for evaluating respiratory impedance, as well as the protocol for performing the FOT tests, has previously been described.(10,17) A 300-µg dose of inhaled albuterol,(18) divided into three inhalations of 100 µg at 1-min intervals, was used for the bronchodilator test. The bronchodilator response was measured 20 min after the last inhalation and was considered positive when the increase in FEV1 and FVC was ≥ 12% or 200 mL.(16)
To provide a quantitative description of the results regarding the curves for respiratory system resistance (Rrs) and reactance (Xrs), the mean distances (MDs) between the prebronchodilator and postbronchodilator curves, designated MDRrs and MDXrs, were calculated in the frequency range of 4-16 Hz. Physiologically, these distances describe the variations in the respiratory system resistive and reactive properties (complacency and inertance) associated with bronchodilator use. The FOT-derived parameters were also analyzed. Using linear regression of the Rrs curve, carried out in the 4-16 Hz frequency range, we obtained the resistance at the intercept (R0).(2,10,17) Based on the Xrs curve, the dynamic compliance (Cdyn) of the respiratory system at the 4-Hz frequency was calculated as follows(17,19): Cdyn = −2ω × f × Xrs, 4 Hz
The analysis of R0 and Cdyn was performed using the values for the variation between prebronchodilator and postbronchodilator measurements in the different groups (control, mild, moderate and severe) and subgroups (BR+ and BR−).
The results are presented as mean ± standard deviation. Statistical analysis was performed using the STATISTICA 5.0 program for Windows (StatSoft Inc., Tulsa, OK, USA). One-way ANOVA was performed, and values of p < 0.05 were considered statistically significant. A second analysis was performed using the Bonferroni multiple correction test, in which values of p < 0.008 were considered statistically significant.
ResultsThe biometric characteristics (age, weight, height and gender, respectively) were similar in all groups: control (41.9 ± 16.3 years; 63.4 ± 11.9 kg; 160.1 ± 10.3 cm; 6 males); mild obstruction (41.2 ± 17.2 years; 67.9 ± 14.0 kg; 161.2 ± 11.0 cm; 7 males); moderate obstruction (47.6 ± 17.5 years; 65.2 ± 10.6 kg; 159.0 ± 12.2 cm; 10 males); and severe obstruction (51.5 ± 18.49 years; 69.5 ± 14.4 kg; 161.2 ± 8.2 cm; 9 males).
No significant differences were observed (p > 0.05). Table 1 shows the spirometric test results for the groups under study.

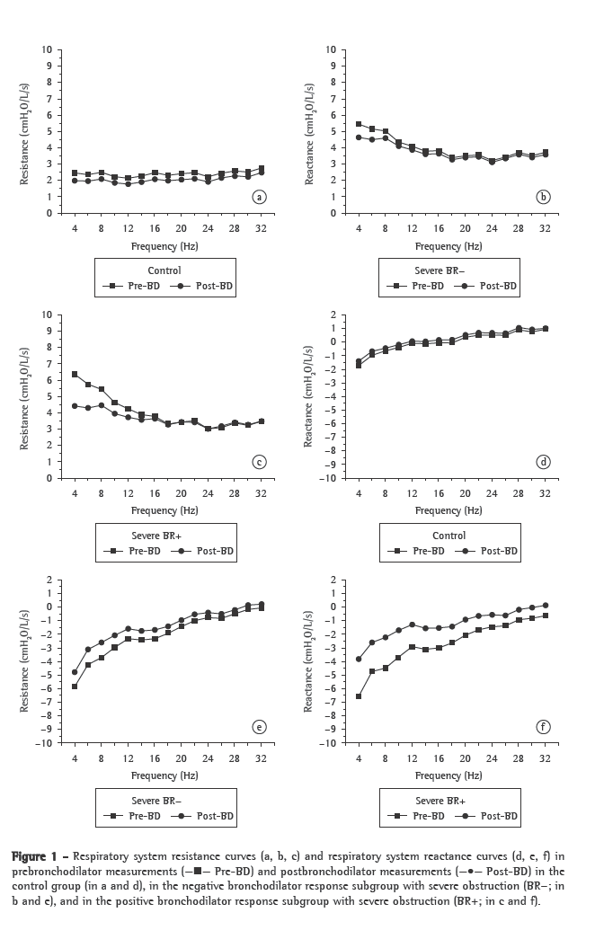
Figure 1 illustrates the effect of bronchodilator use on the Rrs and Xrs curves in the control group and in the severe obstruction group, the latter group being divided into BR+ and BR−. Table 2 describes the MD between the curves illustrated in Figure 1.


The results of the variation between prebronchodilator and postbronchodilator measurements among asthma patients with mild, moderate and severe obstruction are illustrated in Figure 2. Table 3 summarizes these results.


The postbronchodilator variation in R0 increased significantly in proportion to the degree of obstruction (as assessed by spirometry) in patients with BR− (ANOVA; p < 0.03; Figure 2a, Table 3). However, after Bonferroni correction, no differences were observed between the subgroups. Among the BR+ asthma patients, there were greater differences between the prebronchodilator and postbronchodilator measurements, principally in the severe obstruction with BR+ subgroup (ANOVA; p < 0.02; Figure 2b,
Table 3).
The variation in Cdyn after bronchodilator use was significantly greater in proportion to the degree of obstruction, in the BR− and BR+ asthma patients (ANOVA; p < 0.03 and p < 0.003, respectively). The Bonferroni test showed a significant difference between the control group and the moderate obstruction with BR− subgroup (p < 0.008). There was a significant difference between the control group and the severe obstruction with BR+ subgroup (p < 0.0005).
DiscussionThe groups analyzed in the present study presented similar biometric characteristics. It is of note that, in such studies, subject height should be homogeneous, since it is the parameter that has the most influence on impedance values.(2,3,20)
In the control group, bronchodilator use resulted in a small and homogeneous reduction in the Rrs values between 4 and 32 Hz (0.40 ± 0.04 cmH2OL−1s; Figure 1a and Table 2), which corroborates the findings of another study.(21) However, in the severe obstruction with BR+ subgroup, bronchodilator use resulted in a greater reduction in total resistance (MDRrs = 0.87 ± 0.65 cmH2O L−1s). The effect of the bronchodilator increased in proportion to the degree of obstruction in BR− patients (ANOVA, p < 0.001; Table 2). Such results are in accordance with what has recently been proposed by some authors,(22) i.e., that Rrs is a sensitive parameter for evaluating bronchodilator response in patients with asthma. The results of the previously cited study are also in accordance with the proposition that greater basal values for resistance are correlated with a more evident reduction in resistance after bronchodilator use.(8)
Asthma patients presented elevated Rrs values, principally between 4 and 16 Hz, before bronchodilator use (Figure 1b and 1c). After bronchodilator use, there was a reduction in Rrs and in the Rrs curve slope in the 4-16 Hz frequency range. Elevated frequency values have previously been correlated with the degree and profile of peripheral airway obstruction in patients with obstructive disease (COPD or asthma).(5,6,23) One group of authors(24) used the methacholine bronchial provocation test in order to analyze the pattern of airway obstruction in patients with asthma. The authors demonstrated that, in healthy individuals and in asthma patients with mild to moderate obstruction, bronchial provocation produced a slightly heterogeneous pattern of obstruction, which might result in total or partial closure of certain peripheral airways. However, asthma patients with severe obstruction presented a quite heterogeneous pattern of obstruction, the airways being constricted even before methacholine use. This might be due to persistent inflammation and bronchial remodeling.
The increase in tissue resistance, resulting from bronchial remodeling, might play a key role in BR− and short MDRrs (0.43 ± 0.29 cmH2OL−1s) observed in asthma patients with severe obstruction and BR− (Figure 1b, Table 2).
The analysis of the Xrs curves (Figure 1) revealed that the Xrs values in the control group were slightly negative at low frequencies; in addition, a positive dependence of Xrs on frequency was observed in the prebronchodilator measurements, a slight change in this behavior being observed after bronchodilator use.(21) The proportion of patients presenting negative Xrs values, principally in the 4-16 Hz range, was greater among those with asthma than among those without. In addition, greater positive dependence of Xrs on frequency was observed among asthma patients. After bronchodilator use, the increase in Xrs values and the decrease in the dependence of Xrs on frequency occurred principally at low frequencies, which is in accordance with the literature.(5)
The effect of bronchodilator use on Xrs increased in proportion to the degree of airway obstruction. This occurred as a result of the increase in MDXrs values in proportion to the degree of obstruction, which was observed in BR− patients and in BR+ patients (ANOVA; p < 0.001; Table 2).
According to some authors,(8) bronchodilators increase airway wall compliance and relax the smooth muscles of the bronchi. This effect can be explained, at least in part, by the reduction in the rigidity of the bronchial walls associated with the reduction in bronchospasm. As discussed previously, increased resistance results in a more pronounced bronchodilator response. The results of the present study suggest that bronchodilator response is more pronounced when reactance values are more negative, which occurs when the elastic properties of the respiratory system are more significantly affected.
When controls were compared with asthma patients with BR− (Figure 2a), the differences between prebronchodilator R0 and postbronchodilator R0 increased significantly in proportion to the degree of airway obstruction (ANOVA; p < 0.03). However, the multiple comparisons involving all subgroups showed no statistical significance. It has been hypothesized that resistance at low frequencies is a parameter that is not sensitive enough to detect the bronchodilator effect in patients with obstructive disease (asthma and COPD) at more advanced stages, although the authors of the study in which that hypothesis was raised did not stratify the study groups according to the bronchodilator response.(5)
The differences between prebronchodilator and postbronchodilator measurements observed in BR+ patients were greater than those observed in BR− patients with the same degree of obstruction (Figure 2a), principally in the severe obstruction group. This corroborates the findings of another group of authors,(8) who demonstrated better R0 response in patients presenting a variation in FEV1 ≥ 10% after bronchodilator use.
Among BR+ patients, the differences between the means increased progressively from those obtained for the control group to those obtained for the severe obstruction with BR+ subgroup, showing a tendency toward a significant increase between subgroups (ANOVA; p < 0.02). When adjacent groups were compared, a significant difference was observed between the control group and the severe obstruction group (Bonferroni correction; p < 0.002).
The results regarding Cdyn are illustrated in Figures 2c and 2d. There was a statistically significant tendency toward lower Cdyn in inverse proportion to the degree of airway obstruction in BR− and BR+ patients (ANOVA; p < 0.03 and p < 0.003, respectively). The reductions in Cdyn were significantly greater in the moderate obstruction with BR− subgroup than in the control group (Bonferroni; p < 0.008). The reductions in Cdyn were significantly greater in the severe obstruction with BR+ subgroup than in the control group (Bonferroni; p < 0.0005). Among asthma patients with moderate to severe obstruction, Cdyn presented a strong positive dependence on frequency in the basal values, decreasing significantly after albuterol use.
Such behavior might be due to three different mechanisms(24-27): tissue viscoelasticity; heterogeneity in time constants of the respiratory system; and airway shunt, resulting from widespread obstruction on the periphery of the lung. With regard to the significant variation in Cdyn after albuterol use, the following mechanisms might explain such behavior(24): the opening of previously closed lung units; the increase in air volume in the peripheral airways; and the reduction in the heterogeneity of the lung.
The results of the present study show that, in asthma patients, increased airway obstruction results in greater variations in R0 and Cdyn after the use of albuterol. In addition, such variations are greater in BR+ patients than in BR− patients. We found that R0 and Cdyn satisfactorily indicate improved respiratory mechanics.
AcknowledgmentsThe authors would like to thank the engineers Jayme Mesquita Júnior and Josiel G. Santos for their assistance in assembling the instruments. The authors are also grateful to Dr. Vinícius Antão and Dr. Germânia Pinheiro for referring the patients to us, as well as to the spirometry technicians at the Pedro Ernesto University Hospital, Edinete do Rosário Limeira and Luzia da Silva Batista, for performing the spirometric tests.
References 1. Global Initiative for Asthma - GINA. Geneva: Global Initiative for Asthma [Cited 2009 Mar 3]. Available from: http://www.ginasthma.org.
2. Melo PL, Werneck MM, Gianella-Neto A. Avaliação da mecânica ventilatória por oscilações forçadas: fundamentos e aplicações clínicas. J Pneumol 2000;26(4):194-206.
3. Oostveen E, MacLeod D, Lorino H, Farré R, Hantos Z, Desager K, et al. The forced oscillation technique in clinical practice: methodology, recommendations and future developments. Eur Respir J. 2003;22(6):1026-41.
4. LaPrad AS, Lutchen KR. Respiratory impedance measurements for assessment of lung mechanics: focus on asthma. Respir Physiol Neurobiol. 2008;163(1-3):64-73.
5. Van Noord JA, Smeets J, Clément J, Van de Woestijne KP, Demedts M. Assessment of reversibility of airflow obstruction. Am J Respir Crit Care Med. 1994;150(2):551-4.
6. Zerah F, Lorino AM, Lorino H, Harf A, Macquin-Mavier I. Forced oscillation technique vs spirometry to assess bronchodilatation in patients with asthma and COPD. Chest. 1995;108(1):41-7.
7. Mazurek HK, Marchal F, Derelle J, Hatahet R, Moneret-Vautrin D, Monin P. Specificity and sensitivity of respiratory impedance in assessing reversibility of airway obstruction in children. Chest. 1995;107(4):996-1002.
8. Delacourt C, Lorino H, Herve-Guillot M, Reinert P, Harf A, Housset B. Use of the forced oscillation technique to assess airway obstruction and reversibility in children. Am J Respir Crit Care Med. 2000;161(3 Pt 1):730-6.
9. Schweitzer C, Moreau-Colson C, Marchal F. Respiratory impedance response to a deep inhalation in asthmatic children with spontaneous airway obstruction. Eur Respir J. 2002;19(6):1020-5.
10. Cavalcanti JV, Lopes AJ, Jansen JM, Melo PL. Using the forced oscillation technique to evaluate bronchodilator response in healthy volunteers and in asthma patients presenting a verified positive response. J Bras Pneumol. 2006;32(2):91-8.
11. World Medical Association. Declaration of Helsinki. 59th WMA General Assembly; 2008 Oct 13; Seoul: WMA; 2008.
12. Sociedade Brasileira de Pneumologia e Tisiologia. III Consenso Brasileiro no Manejo da Asma. J Pneumol. 2002;28(Suppl 1):S6-S51.
13. Sociedade Brasileira de Pneumologia e Tisiologia. IV Diretrizes Brasileiras para o Manejo da Asma. J Bras Pneumol. 2006;32(Suppl 7):S447-S74.
14. Jansen JM. Classificação da Síndrome Obstrutiva Brônquica - Uma proposta estatística [thesis]. Rio de Janeiro: Universidade Federal Fluminense; 1994.
15. Sociedade Brasileira de Pneumologia e Tisiologia. Diretrizes para Testes de Função Pulmonar. J Pneumol. 2002;28(Suppl 3):S1-S238.
16. Lung function testing: selection of reference values and interpretative strategies. American Thoracic Society. Am Rev Respir Dis. 1991;144(5):1202-18.
17. Cavalcanti JV, Lopes AJ, Jansen JM, Melo PL. Detection of changes in respiratory mechanics due to increasing degrees of airway obstruction in asthma by the forced oscillation technique. Respir Med. 2006;100(12):2207-19.
18. Jansen JM, Plotkowski LM, Kux R, Milagres JA. Determinação da melhor dose de um broncodilatador - Estudo dose-resposta com salbutamol spray em pacientes asmáticos. J Pneumol. 1986;12(4):211-16.
19. Nagels J, Làndsér FJ, van der Linden L, Clément J, Van de Woestijne KP. Mechanical properties of lungs and chest wall during spontaneous breathing. J Appl Physiol. 1980;49(3):408-16.
20. Làndsér FJ, Clément J, Van de Woestijne KP. Normal values of total respiratory resistance and reactance determined by forced oscillations: influence of smoking. Chest. 1982;81(5):586-91.
21. Manço JC, Hyatt RE, Rodarte JR. Respiratory impedance in normal humans: effects of bronchodilatation and bronchoconstriction. Mayo Clin Proc. 1987;62(6):487-97.
22. Yaegashi M, Yalamanchili VA, Kaza V, Weedon J, Heurich AE, Akerman MJ. The utility of the forced oscillation technique in assessing bronchodilator responsiveness in patients with asthma. Respir Med. 2007;101(5):995-1000.
23. Kaczka DW, Ingenito EP, Israel E, Lutchen KR. Airway and lung tissue mechanics in asthma. Effects of albuterol. Am J Respir Crit Care Med. 1999;159(1):169-78.
24. Lutchen KR, Jensen A, Atileh H, Kaczka DW, Israel E, Suki B, et al. Airway constriction pattern is a central component of asthma severity: the role of deep inspirations. Am J Respir Crit Care Med. 2001;164(2):207-15.
25. Mauad T. Airway Remodeling in Asthma. Proceedings of CHEST 2003: 69th Annual Meeting of the American College of Chest Physicians; 2003 Oct 25-30; Orlando, USA. Northbrook: American College of Chest Physicians; 2003. p.44-7.
26. Brown NJ, Salome CM, Berend N, Thorpe CW, King GG. Airway distensibility in adults with asthma and healthy adults, measured by forced oscillation technique. Am J Respir Crit Care Med. 2007;176(2):129-37.
27. Lutchen KR, Gillis H. Relationship between heterogeneous changes in airway morphometry and lung resistance and elastance. J Appl Physiol. 1997;83(4):1192-201.
About the authorsJuliana Veiga
Assistant Professor. Castelo Branco University, Rio de Janeiro, Brazil.
Agnaldo José Lopes
Adjunct Professor. Universidade do Estado do Rio de Janeiro - UERJ, Rio de Janeiro State University - Rio de Janeiro, Brazil.
José Manoel Jansen
Full Professor. Universidade do Estado do Rio de Janeiro - UERJ, Rio de Janeiro State University - Rio de Janeiro, Brazil.
Pedro Lopes de Melo
Adjunct Professor. Universidade do Estado do Rio de Janeiro - UERJ, Rio de Janeiro State University - Rio de Janeiro, Brazil.
Study carried out at the Universidade do Estado do Rio de Janeiro - UERJ, Rio de Janeiro State University - Rio de Janeiro, Brazil.
Correspondence to: Pedro Lopes de Melo. Universidade do Estado do Rio de Janeiro, Rua São Francisco Xavier, 524, Pavilhão Haroldo Lisboa Filho, Térreo, Salas 104/105, CEP 20550-013, Rio de Janeiro, RJ, Brasil.
Tel 55 21 2587-7773. Fax 55 21 2587-7760. E-mail: plopes@uerj.br
Financial support: This study received financial support from the Fundação de Apoio à Pesquisa do Estado do Rio de Janeiro (FAPERJ, Foundation for the Support of Research in the State of Rio de Janeiro) and the Conselho Nacional de Desenvolvimento Científico e Tecnológico (CNPq, National Council for Scientific and Technological Development).
Submitted: 8 October 2008. Accepted, after review: 2 March 2009.