Continuous and bimonthly publication
ISSN (on-line): 1806-3756

Licença Creative Commons
12879
Views
Back to summary
Open Access Peer-Reviewed
Original Article

Tendência temporal e distribuição espacial da mortalidade por câncer de pulmão no Brasil entre 1979 e 2004: magnitude, padrões regionais e diferenças entre sexos

Temporal trend in and spatial distribution of lung cancer mortality in Brazil between 1979 and 2004: magnitude, regional patterns, and gender-related differences

Antonio Fernando Boing, Tiana Fávero Rossi

ABSTRACT

Objectives: To describe the temporal trend in and spatial distribution of mortality from tracheal, bronchial, and lung cancer in Brazil from 1979 to 2004. Methods: Mortality data by gender and geographic region were obtained from the Mortality Database created by the Ministry of Health in 1975. Demographic data were collected from the national censuses, from population counts, and from population estimates made in non-census years. Mortality rates were standardized according to the direct method, and the trends were analyzed by gender and geographic region using the Prais-Winsten method for generalized linear regression. Results: Lung cancer mortality accounted for approximately 12% of the overall neoplasia-related mortality during the period. There was a trend toward an increase for both genders and in all regions, except for the male population in the southeast region, whose rates remained steady between 1979 and 2004. The highest rates were observed in the south and southeast regions. However, the northeast region was the one that presented the greatest increase, followed by the central-west and north regions. In all regions, the increase in mortality rates was higher in women. Conclusions: The increase in lung cancer mortality in Brazil between 1979 and 2004 requires public measures that can minimize exposition to risk factors, mainly tobacco, and allow greater access to health care facilities for diagnosis and treatment.

Keywords: Lung neoplasms; Epidemiology; Brazil.

RESUMO

Objetivos: Descrever a tendência temporal e a distribuição espacial da mortalidade por câncer de traquéia, brônquios e pulmão no Brasil entre 1979 e 2004. Métodos: Os dados de mortalidade segundo o sexo e as regiões geográficas do Brasil foram obtidos junto ao Sistema de Informações sobre Mortalidade, o qual foi criado pelo Ministério da Saúde em 1975. Os dados populacionais provêm dos censos, da contagem populacional e das estimativas intercensitárias. As taxas de mortalidade foram padronizadas pelo método direto, e as tendências foram analisadas para cada sexo e região utilizando-se o método de Prais-Winsten para regressão linear generalizada. Resultados: A mortalidade por câncer de pulmão correspondeu a aproximadamente 12% da mortalidade geral por neoplasias no Brasil durante o período. A tendência foi de aumento em ambos os sexos e em todas as regiões, exceto na população masculina do sudeste, cujas taxas se mantiveram estáveis entre 1979 e 2004. As maiores taxas foram observadas no sul e no sudeste. Entretanto, a região nordeste foi a que apresentou o maior aumento, seguida pelo centro-oeste e o norte. Em todas as regiões, o incremento nas taxas de mortalidade foi maior entre as mulheres. Conclusões: O aumento na mortalidade por câncer de pulmão no Brasil entre 1979 e 2004 exige medidas públicas que minimizem a exposição aos fatores de risco, sobretudo ao tabaco, e permitam maior acesso aos serviços de saúde para diagnóstico e tratamento.

Palavras-chave: Neoplasias pulmonares; Epidemiologia; Brasil.

Introdução

Ao longo do século XX, as neoplasias configuraram-se como um dos mais importantes problemas de saúde no mundo. Estima-se que em 2002 havia 24,6 milhões de pessoas vivendo com câncer no mundo e que, no mesmo ano, surgiram 10,9 milhões de casos novos da doença. Para os próximos anos a expectativa é de aumento na incidência das neoplasias, chegando-se ao surgimento de 16 milhões de novos casos em 2020.(1) O número de óbitos decorrentes de neoplasias também é elevado. De um total de 58 milhões de mortes ocorridas em 2005, 7,6 milhões (13%) foram por câncer, sendo que mais de 70% dos óbitos ocorreram em países de média e baixa renda.(2) No Brasil, as neoplasias respondem pela segunda causa de mortes desde 2000, e, para o ano de 2006, espera-se o surgimento de 472 mil novos casos de câncer em todo o país.(3,4) O câncer de pulmão está entre os mais freqüentes tipos de neoplasias, tanto em países industrializados quanto em países em desenvolvimento. Apenas no ano 2000, surgiram aproximadamente 1,2 milhão de casos novos da doença no mundo, sendo 3/4 deles entre os homens.(5) No mesmo ano, cerca de 1 milhão de pessoas morreram por câncer de pulmão. De todos esses óbitos, 45% ocorreram em países menos desenvolvidos.(6) No Brasil, o Instituto Nacional do Câncer estimou, para 2006, o surgimento de 27.170 novos casos de câncer de pulmão, sendo 17.850 entre os homens e 9.320 entre as mulheres.(6) Esses valores correspondem a um risco estimado de 19 casos novos a cada 100 mil homens e 10 casos novos a cada 100 mil mulheres.

Além de altas taxas de incidência e de mortalidade, o câncer de pulmão apresenta elevada letalidade. A taxa de sobrevida de 5 anos de pacientes com câncer de pulmão é relativamente pobre, com médias inferiores às taxas de sobrevida de outras neoplasias, como o câncer de cólon, de mama e de próstata.(7)

Segundo alguns pesquisadores,(8) a investigação da tendência histórica de eventos relacionados à saúde, dentre os quais pode-se incluir a mortalidade por câncer de pulmão, possibilita uma apreciação mais adequada das medidas de controle dos agravos à saúde e também permite a detecção de possíveis mudanças na estrutura epidemiológica dos mesmos. Assim, o objetivo desse estudo foi analisar a tendência temporal e a distribuição espacial da mortalidade por câncer de traquéia, brônquios e pulmão no Brasil entre 1979 e 2004.

Métodos

Realizou-se a análise de série histórica da mortalidade por câncer de traquéia, brônquios e pulmão no Brasil entre 1979 e 2004. O número de óbitos é oriundo do Sistema de Informações sobre Mortalidade (SIM),(3) o qual foi criado pelo Ministério da Saúde em 1975. Foram incluídos no estudo os óbitos por neoplasia maligna da traquéia, brônquios e pulmão classificados na 9ª revisão da Classificação Internacional de Doenças (CID) com o código 162 (entre 1979 e 1995) e na 10ª revisão da CID com os códigos C33-34 (entre 1996 e 2004). Os óbitos foram categorizados segundo a macrorregião de residência da pessoa falecida (norte, nordeste, centro-oeste, sudeste e sul), o sexo (masculino ou feminino) e a faixa etária (em grupos qüinqüenais até 75 anos ou mais). As décadas investigadas correspondem a todo o período disponibilizado pelo SIM com informações sobre mortalidade em âmbito nacional.

As informações sobre o número de habitantes foram obtidas junto ao Instituto Brasileiro de Geografia e Estatística.(9) Os dados populacionais são provenientes dos censos de 1980, 1991 e 2000, da contagem populacional de 1996 e, para os demais anos, das estimativas intercensitárias.

Para evitar que diferenças no perfil etário das populações ao longo do tempo e entre as regiões analisadas influenciassem na estimativa das tendências, realizou-se a padronização das taxas de mortalidade por sexo e faixa etária.(10) As taxas foram ajustadas empregando-se o método direto de padronização, sendo considerada como padrão a população brasileira masculina do ano 2000.

Na análise da tendência foi empregado o método de Prais-Winsten para regressão linear generalizada, por meio do qual se estimaram os parâmetros da regressão, os quais foram controlados pela auto-correlação de primeira ordem.(11) Dessa forma, foi possível avaliar se as tendências de mortalidade estavam em ascensão, em declínio ou estacionárias, além de quantificar as taxas de variações anuais. Foram calculados os respectivos intervalos de confiança (95%), e considerada estacionária a tendência cujo coeficiente de regressão não foi diferente de zero (p > 0,05). Esta análise estatística foi realizada usando o software Stata 9. Os polígonos de freqüência delineados foram alisados por médias móveis de ordem 3.

Resultados

No período entre 1979 e 2004, foram registrados no Brasil 287.484 óbitos decorrentes de câncer de traquéia, brônquios e pulmão, sendo 207.457 em homens e 80.027 em mulheres. Em 1979, a razão de óbitos entre os sexos foi de 1 óbito entre as mulheres para cada 3,3 óbitos entre os homens. Já em 2004, essa razão foi menor e chegou a 1:2. Os óbitos decorrentes deste tipo de tumor foram responsáveis por aproximadamente 12% da mortalidade geral por neoplasias no país durante o período estudado.

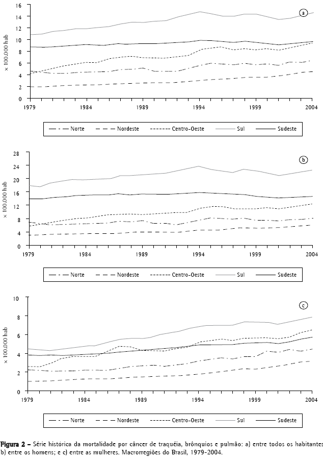
Identificou-se que, entre 1979 e 2004, houve um aumento médio anual da mortalidade por câncer de traquéia, brônquios e pulmão no Brasil equivalente a 1,08% (Tabela 1). Entre as mulheres, o aumento médio anual correspondeu a 2,44%, com taxas variando de 3,04 óbitos por 100 mil mulheres em 1979 para 5,37 óbitos por 100 mil mulheres em 2004. Entre os homens, o aumento nas taxas de mortalidade foi mais modesto (0,77% ao ano) (p < 0,001). A taxa variou de 10,64 óbitos por 100 mil homens em 1979 para 13,07 óbitos por 100 mil homens em 2004. As séries temporais de mortalidade para os sexos masculino e feminino no Brasil são apresentadas na Figura 1. As regiões sul e sudeste, durante todo o período investigado, apresentaram as maiores taxas de mortalidade por câncer de pulmão, correspondendo a 14,54 e 9,69 óbitos por 100 mil habitantes, respectivamente, no ano de 2004 (Figura 2). A região centro-oeste apresentou taxas de mortalidade semelhantes às das regiões norte e nordeste no inicio do período; entretanto, no ano de 2004, a taxa foi igual a 9,50 por 100 mil habitantes, muito próxima dos valores observados no sudeste. As menores taxas no ano de 2004 foram encontradas nas regiões norte (6,36 por 100 mil habitantes) e nordeste (4,49 por 100 mil habitantes). Padrões similares foram observados entre os sexos masculino e feminino.









A análise da tendência de acordo com o sexo e as diferentes regiões do país demonstrou que apenas entre os homens do sudeste houve estabilidade na mortalidade por câncer de traquéia, brônquios e pulmões entre 1979 e 2004. Nas demais regiões e em ambos os sexos, a tendência foi de aumento. No nordeste foi identificado o maior aumento de mortalidade no período (3,30% ao ano), tanto para o sexo masculino (2,82% ao ano) quanto para o feminino (4,45% ao ano). Na seqüência aparecem as regiões centro-oeste, norte e sul, com aumentos anuais de 2,88%, 1,63% e 1,17%, respectivamente, quando analisados ambos os sexos em conjunto. Os incrementos nas taxas de mortalidade foram, em todas as regiões, maiores entre as mulheres (Tabela 1).





Discussão

A análise da tendência de mortalidade por câncer de pulmão no Brasil é dependente dos dados oriundos do SIM. Sendo assim, quanto melhor a qualidade dos dados disponibilizados pelo SIM, maior a fidedignidade dos achados. Outra consideração importante é que se sabe que as taxas de mortalidade por neoplasias estão fortemente relacionadas ao perfil etário da população. Porém, no presente estudo, ao se controlar o efeito da mudança na estrutura etária por meio da padronização dos coeficientes, pôde-se afastar a influência do aumento da expectativa de vida dos brasileiros durante o período estudado, ou a sua variação entre as regiões, sobre as taxas calculadas.

Os resultados mostraram que as taxas de mortalidade por neoplasia pulmonar são maiores entre os homens; todavia, analisando-se a tendência, fica claro o aumento expressivo da mortalidade entre as mulheres. Nas últimas décadas, em parte dos países desenvolvidos, a mortalidade por câncer de pulmão entre os homens está se estabilizando ou diminuindo, enquanto que, entre as mulheres, ela permanece ascendente.(12) Este fato tem sido relacionado a uma redução no consumo de cigarros entre os homens nestes países nas últimas décadas. O aumento expressivo da mortalidade entre as mulheres identificado no presente estudo também pode estar relacionado ao consumo de cigarros e ter origem histórica e cultural. O tabagismo iniciou-se no mundo como um comportamento predominantemente masculino em países industrializados, sendo um hábito pouco comum entre as mulheres até a década de 1940. O impacto do desenvolvimento e da globalização provocou mudanças significativas no comportamento feminino. Com uma participação cada vez maior no mercado de trabalho, maior poder aquisitivo e maior poder de decisão, a mulher passou a exercer um diferente papel na sociedade. Diante deste quadro, a indústria do tabaco, com o intuito de expandir suas vendas, iniciou campanhas publicitárias voltadas especificamente para este grupo populacional, em geral envolvendo modelos atléticos que associam ao cigarro conceitos de beleza, sucesso, inteligência, liberdade de expressão, poder e independência. Estas estratégias tornaram o hábito de fumar um comportamento social aceitável e até positivo que, associado ao fácil acesso e ao baixo custo do produto, fez e continua fazendo com que o número de fumantes seja cada vez maior, principalmente entre mulheres e jovens de países em desenvolvimento. Alguns estudos sugerem uma maior vulnerabilidade genética feminina para o desenvolvimento do câncer de pulmão, mesmo quando exposta da mesma maneira e com a mesma intensidade aos fatores de risco que os homens. Entretanto, os achados nessa linha de pesquisa ainda são inconclusivos, e a possível diferença na susceptibilidade entre os sexos permanece incerta, indicando a necessidade de mais pesquisas que avancem no tema.(12,13)

Ao acompanhar a evolução das taxas de mortalidade por câncer de pulmão no país entre 1979 e 2004, observou-se que houve um incremento real em todas as regiões. A população masculina do sudeste representou a única exceção, com taxas estáveis no período. Esse mesmo padrão também foi observado por alguns pesquisadores(14) ao descreverem a tendência temporal de mortes por neoplasias malignas no Brasil durante a década de 1980 e início dos anos 1990.

Na análise regional, as maiores taxas de mortalidade por neoplasia pulmonar foram encontradas no sul e no sudeste, regiões que apresentam maior desenvolvimento socioeconômico. No entanto, as regiões nordeste, centro-oeste e norte, respectivamente, foram as que apresentaram maior tendência de aumento. Este quadro reproduz internamente no país tendências similares às observadas no mundo: altas taxas de mortalidade por câncer de pulmão são observadas em países desenvolvidos, enquanto que, em países em desenvolvimento, há uma tendência significativamente maior de aumento de mortalidade por neoplasia pulmonar.

O centro-oeste destacou-se por apresentar taxas de mortalidade semelhantes às do norte e do nordeste no início do período. Porém, nos últimos anos observou-se um padrão semelhante ao das taxas do sul e do sudeste. Vale ressaltar que, nas décadas de 1980 e 1990, o centro-oeste sofreu um forte processo de urbanização e foi alvo de intensa migração, principalmente de migrantes do sul e do sudeste do país, o que pode ter contribuído para o incremento das taxas.

As cinco regiões do país, por sua heterogeneidade cultural, demográfica, socioeconômica e política, têm suas populações expostas a diferentes fatores de risco e de proteção. Diferem também quanto à qualidade dos registros de óbitos, ao acesso aos serviços de saúde, à qualidade dos serviços prestados e à capacidade diagnóstica e terapêutica.

Diversos estudos demonstram que a incidência e a mortalidade por câncer de pulmão refletem, em parte, os fatores de risco aos quais uma determinada população foi previamente exposta.(15,16) O tabagismo, a exposição passiva à fumaça do cigarro, a poluição atmosférica, a dieta e a exposição ocupacional (asbesto, radônio, arsênio, cromo, níquel, hidrocarbonetos policíclicos, sílica) são exemplos de fatores importantes na carcinogênese pulmonar.(17)

Entre todos os fatores citados, o tabagismo assume posição de destaque. Estima-se que as substâncias carcinogênicas do tabaco e sua ação sobre oncogenes estão associadas a cerca de 91,5% dos casos de câncer de pulmão em homens e a aproximadamente 78,5% dos casos em mulheres.(18) Desse modo, é também coerente relacionar as diferenças regionais e temporais da mortalidade por câncer de pulmão com os distintos padrões de consumo do tabaco no país. O Brasil é o maior exportador mundial de folhas de tabaco e o segundo maior produtor

mundial de fumo, sendo que as maiores plantações encontram-se no sul.(19) O Inquérito Domiciliar sobre Comportamentos de Risco e Morbidade Referida de Doenças e Agravos Não-transmissíveis,(20) realizado em 2002 e 2003 em 15 capitais brasileiras e no Distrito Federal, identificou que a prevalência de tabagismo na população brasileira acima de 15 anos foi de 19%. Das 8 capitais com maior prevalência, 7 situam-se no sul e no sudeste, regiões responsáveis pelas maiores taxas de óbitos por neoplasia pulmonar. Os maiores percentuais foram observados em Porto Alegre (25%), Curitiba (22%) e Florianópolis (21%), seguidas por São Paulo (20%) e Belo Horizonte (20%). Em todas as cidades, a estimativa pontual do percentual de fumantes foi maior entre os homens. Apesar de utilizarem metodologias distintas, evitando a possibilidade de comparação direta, o inquérito supracitado e a Pesquisa Nacional de Saúde e Nutrição,(21) realizada em 1989, sugerem importante queda na prevalência de tabagismo. Em capitais do sudeste, como Rio de Janeiro e São Paulo, o declínio do tabagismo entre 1989 e 2002/2003 correspondeu a 43,3 e 33,3% respectivamente, sendo que os maiores percentuais de cessação do tabagismo foram observados entre os homens. Essa redução do tabagismo observada no Brasil nos últimos anos certamente tem impacto nas taxas de mortalidade por câncer de pulmão. No entanto, o completo efeito dessa mudança de consumo será observado nas taxas de mortalidade das próximas décadas.

A qualidade dos registros de óbitos, além de ser diversificada entre as regiões do país, também variou substancialmente entre 1979 e 2004,. Durante o período estudado, houve uma melhoria dos dados produzidos no país.(22,23) As taxas de mortalidade por causas mal definidas apresentaram queda em todas as regiões, particularmente no norte, nordeste e centro-oeste. O sul, em 1998, foi a região que apresentou a melhor qualidade de informação sobre causa de morte, com apenas 7,7% de óbitos classificados no Capítulo de Causas Mal Definidas, seguida pelo sudeste com 10% e centro-oeste com 10,6%. O norte e o nordeste apresentam maiores deficiências no sistema de registros.(24) É possível que parte do incremento observado na mortalidade durante o período investigado e a existência de diferentes magnitudes da doença entre as regiões deveram-se às melhorias nas fontes de informação e nas diferenças regionais na qualidade dos dados.

Quanto ao uso dos serviços de saúde, alguns autores(25) apontaram diferenças regionais estatisticamente significantivas. Segundo os autores, dados da Pesquisa Nacional de Amostras por Domicílio de 2003 apontaram que os residentes das regiões sul e sudeste têm maiores chances de acesso aos serviços de saúde que os residentes do norte (45% menos chance), nordeste (40% menos chance) e centro-oeste (23% menos chance). Além disso, apesar de o acesso ter melhorado em todas as regiões entre 1998 e 2003 - possibilitando uma maior identificação de casos de neoplasia pulmonar, os quais em anos anteriores talvez nem fossem reportados ao serviço de saúde, ou ainda permitindo o diagnóstico da doença em estágios mais precoces - a desigualdade regional aumentou. E as regiões sul e sudeste, além de reunirem maior proporção de profissionais de saúde por mil habitantes, concentram os recursos de assistência à saúde, dentre os quais equipamentos tecnológicos importantes para o diagnóstico do câncer de pulmão, como tomografia computadorizada e ressonância magnética.(23) O progresso na terapia para o câncer de pulmão nos últimos 20 anos também foi modesto. Os tratamentos disponíveis, especialmente a quimioterapia associada ou não à radioterapia, são ainda bastante tóxicos. A investigação de novos agentes é de grande relevância, assim como o são as pesquisas sobre a terapia gênica; porém, estes estudos estão em fase inicial.(26) Diante da tendência ascendente da mortalidade por câncer de pulmão e da elevada magnitude atual dos óbitos por essa neoplasia, ressalta-se esse agravo como um relevante problema de saúde pública no Brasil. E dado o elevado risco do tabaco para a doença, intervenções que busquem minimizar o tabagismo no país são absolutamente necessárias. Já no ano de 1993, os custos em saúde decorrentes das doenças relacionadas ao fumo resultaram em uma perda de 200 bilhões de dólares.(27) Devem-se considerar também os custos não mensuráveis, como o impacto negativo na qualidade de vida do paciente e os danos do tabaco ao meio ambiente. Como o tratamento clínico do câncer de pulmão pode ajudar apenas cerca de 10% das pessoas com a doença e custa em torno de 18 mil dólares por ano de vida ganho do paciente,(28) ações de prevenção, com um foco muito além da dimensão do indivíduo, buscando-se abarcar variáveis sociais, políticas e econômicas, tornam-se mais lógicas e factíveis.

Tendo em vista que o cigarro brasileiro é um dos mais baratos do mundo, o aumento nas taxas do produto seria uma medida estratégica. Estima-se que um acréscimo de 10% nos preços do produto pode provocar, nos países de média e baixa renda, um decréscimo de 8% no seu consumo.(29) O efeito pode ser ainda mais forte se o percentual arrecadado pelo estado for utilizado na promoção de campanhas anti-tabagismo. Além disso, outras medidas e também as ações previstas na Convenção Quadro para o Controle do Tabaco devem ser implementadas e/ou mantidas, tais como: proteger a população, especialmente os jovens, das propagandas; regular e monitorar os produtos do tabaco quanto à sua composição e emissão de poluentes; utilizar as próprias embalagens de derivados de tabaco para informar a população de forma contundente sobre a real dimensão dos riscos do tabagismo; limitar

o acesso dos jovens aos produtos de tabaco pelo controle de mecanismos de venda e pelo controle do mercado ilegal; e proteger a população dos riscos do tabagismo passivo.(28,29)

Referências

1. World Health Organization. Global actions against cancer. WHO, 2005; 1-24p.

2. Wolrd Health Organization. Cancer control: knowledge into action. WHO, 2006; 1-40p.

3. Ministério da Saúde [Homepage on the Internet]. Brasília: 2007 [cited 2006 Nov 6]. Sistema de Informações sobre Mortalidade. Available from: http://tabnet.datasus.gov.br/ cgi/sim/obtmap.htm

4. Brasil. Ministério da Saúde. Secretaria de Atenção à Saúde. Instituto Nacional de Câncer. Coordenação de Prevenção e Vigilância. Estimativa 2006: incidência de câncer no Brasil. Rio de Janeiro: INCA; 2005.

5. Wolrd Health Organization. National cancer control programs: policies and managerial guidelines. WHO, 2002;1-180p.

6. Ferlay J, Bray F, Pisani P, Parkin DM. Globocan 2000. Cancer incidence, mortality and prevalence worldwide. Lyon: IARC PRESS;2001.

7. Alberg AJ, Samet JM. Epidemiology of lung cancer. Chest. 2003;123(1 Suppl):21S-49S.

8. Rouquayrol MZ, Barreto M. Abordagem descritiva em epidemiologia. In: Rouquayrol MZ, Almeida-Fiho N. Epidemiologia e Saúde. Rio de Janeiro: MEDSI; 2003. p.83-122.

9. Instituto Brasileiro de Geografia e Estatística [Homepage on the Internet]. Brasília: IBGE, 2004 [cited 2006 Nov 10]. Available from: http://www.ibge.gov.br.

10. Pagano N, Gauvreau K. Princípios de bioestatística. São Paulo: Thomson Learning; 2000.

11. Antunes JL, Waldman EA. Trends and spatial distribution of deaths of children aged 12-60 months in São Paulo, Brazil, 1980-98. Bull World Health Organ. 2002;80(5):391-8.

12. World Health Organization. Gender in lung cancer and smoking research. WHO, 2004;1-43p.

13. Rivera MP, Stover DE. Gender and lung cancer. Clin Chest Med. 2004;25(2):391-400.

14. Wünsch Filho V, Moncau JE. Mortalidade por câncer no Brasil 1980-1995: padrões regionais e tendências temporais. Rev Assoc Med Bras. 2002;48(3):250-7.

15. Doll R, Hill AB. The mortality of doctor in relation to their smoking habits: a preliminary report. Br Med J 1954;1(4877):1451-5.

16. Tyczynski JE, Bray F, Parkin DM. Lung cancer in Europe in 2000: epidemiology, prevention, and early detection. Lancet Oncol. 2003;4(1):45-55. Erratum in: Lancet Oncol. 2003;4(7):396.

17. Bilello KS, Murin S, Matthay RA. Epidemiology, etiology, and prevention of lung cancer. Clin Chest Med. 2002;23(1):1-25.

18. Ministério da Saúde. Instituto Nacional de Câncer. Coordenação Nacional de Controle do Tabagismo, Prevenção e Vigilância do Câncer. Falando sobre o Câncer de Pulmão. MS/INCA; 2000.

19. Ministério da Saúde. Instituto Nacional do Câncer. Coordenação de Prevenção e Vigilância. Prevalência de Tabagismo no Brasil - Dados dos inquéritos epidemiológicos em capitais brasileiras. Coordenação de Prevenção e Vigilância/INCA/MS, 2004;1-16p.

20. Ministério da Saúde. Inquérito domiciliar sobre comportamento de risco e morbidade referida de doenças e agravos não transmissíveis. INCA/MS, 2004;1-30p.

21. Ministério da Saúde. Pesquisa Nacional sobre Saúde e Nutrição: Perfil de Crescimento da População Brasileira de 0 a 25 anos. INAN; 1990.

22. Mello Jorge MHP, Gotlieb SLD. As condições de saúde no Brasil: retrospecto de 1979 a 1995. Rio de Janeiro: Fiocruz; 2000.

23. Organização Pan-Americana da Saúde. O perfil do sistema de serviços de saúde Brasil. 2ª ed. Brasília: OPAS, 2001; 1-23p.

24. Organização Pan-americana de Saúde. Indicadores básicos para a saúde no Brasil: conceitos e aplicações. Brasília: OPAS, 2002; 1-299p.

25. Travassos C, Viacava F, Fernandes C, Almeida CM. Desigualdades geográficas e sociais na utilização de serviços de saúde no Brasil. Ciência Saúde Coletiva. 2000;5(1):133-49.

26. Biesalski HK, Bueno de Mesquita B, Chesson A, Chytil F, Grimble R, Hermus RJ, et al. European Consensus Statement on Lung Cancer: risk factors and prevention. Lung Cancer Panel. CA Cancer J Clin. 1998;48(3):167-76; discussion 164-6.

27. The World Bank. Curbing the Epidemic: Governments and the Economics of Tobacco Control. Washington D.C.: The World Bank Publication; 1999.

28. World Health Organization. Women and the tobacco epidemic: challenges for the 21st century. WHO, 2001. 29. Ministério da Saúde. Instituto Nacional de Câncer. Falando sobre Tabagismo. MS/INCA, 1998.
__________________________________________________________________________________________
* Trabalho realizado no Departamento de Saúde Pública da Universidade Federal de Santa Catarina - UFSC - Florianópolis (SC) Brasil.
1. Professor do Departamento de Saúde Pública, Universidade Federal de Santa Catarina - UFSC - Florianópolis (SC) Brasil.
2. Acadêmica do Curso de Graduação em Medicina, Universidade Federal de Santa Catarina - UFSC - Florianópolis (SC) Brasil.
Endereço para correspondência: Antonio Fernando Boing. Universidade Federal de Santa Catarina, Departamento de Saúde Pública, Campus Universitário Florianópolis,
CEP 88040-970, Florianópolis, SC, Brasil.
Tel 55 48 3331-9388. E-mail: boing@ccs.ufsc.br
Recebido para publicação em 26/1/2007. Aprovado, após revisão, em 13/2/2007.


Indexes

Development by:

© All rights reserved 2025 - Jornal Brasileiro de Pneumologia