Continuous and bimonthly publication
ISSN (on-line): 1806-3756

Licença Creative Commons
14437
Views
Back to summary
Open Access Peer-Reviewed
Original Article

Using the forced oscillation technique to evaluate bronchodilator response in healthy volunteers and in asthma patients presenting a verified positive response

Técnica de oscilações forçadas na análise da resposta broncodilatadora em voluntários sadios e indivíduos portadores de asma brônquica com resposta positiva

Juliana Veiga Cavalcanti, Agnaldo José Lopes, José Manoel Jansen, Pedro Lopes de Melo

ABSTRACT

Objective: To use the forced oscillation technique to evaluate asthma patients presenting positive bronchodilator responses (confirmed through spirometry) and compare the results with those obtained in healthy individuals. Methods: The study sample consisted of 53 non-smoking volunteers: 24 healthy subjects with no history of pulmonary disease and 29 asthmatics presenting positive bronchodilator response, as determined through analysis of spirometry findings. All of the subjects were submitted to forced oscillation technique and spirometry immediately before and 20 minutes after the administration of salbutamol spray (300 g). The parameters derived from the forced oscillation technique were total respiratory resistance, total respiratory reactance, resistance extrapolated to the y axis, the slope of resistance, and dynamic compliance. The parameters measured in the spirometry evaluation tests were forced expiratory volume in one second and forced vital capacity. Results: In the control group, bronchodilator use produced a significant alteration in the resistance extrapolated to the y axis (p < 0.001), although no significant differences were observed in the slope of resistance or in dynamic compliance. Analysis of the asthma patients revealed significant differences between the prebronchodilator and postbronchodilator values for all spirometry and forced oscillation technique parameters. Values of p < 0.001 were obtained for all comparisons between the two groups. Conclusion: The modifications provoked by use of the forced oscillation technique were in direct concordance with the pathophysiology of the bronchodilator response in asthma patients, indicating that the forced oscillation technique could be useful as a complement to spirometry in these patients.

Keywords: Asthma; Bronchial hyperreactivity; Spirometry/methods; Bronchial provocation tests; Forced expiratory volume/physiology; Oscillometry

RESUMO

Objetivo: Analisar, através da técnica de oscilações forçadas, pacientes asmáticos com resposta broncodilatadora positiva pelo laudo espirométrico e comparar esses resultados com os obtidos em indivíduos sadios. Métodos: Foram analisados 53 indivíduos não tabagistas, sendo 24 sadios sem história de doença pulmonar e 29 asmáticos com resposta broncodilatadora positiva segundo o laudo espirométrico. Todos foram submetidos à técnica de oscilações forçadas e a espirometria antes e após vinte minutos da administração de salbutamol spray (300 g). Os parâmetros derivados da técnica de oscilações forçadas foram: resistência total, reatância total, resistência extrapolada para o eixo y, coeficiente angular da reta de resistência e complacência dinâmica. Na espirometria, os parâmetros utilizados foram o volume expiratório forçado no primeiro segundo e a capacidade vital forçada. Resultados: No grupo controle, a utilização do broncodilatador produziu alteração significativa na resistência extrapolada para o eixo y (p < 0,001), embora o coeficiente angular da reta de resistência e a complacência dinâmica não tenham apresentado diferenças estatisticamente significativas. A análise dos asmáticos mostrou que a diferença entre as medidas pré e pós-broncodilatador foi significativa, tanto para os parâmetros espirométricos quanto para os de técnica de oscilações forçadas. Valores de p < 0,001 foram obtidos em todas as comparações relacionadas aos asmáticos. Conclusão: As alterações nos parâmetros obtidos a partir da técnica de oscilações forçadas mostraram-se em estreita concordância com a fisiopatologia da resposta broncodilatadora em asmáticos, indicando que a técnica de oscilações forçadas pode ser útil como análise complementar à espirometria nesses pacientes.

Palavras-chave: Asma; Hiper-reatividade brônquica; Espirometria/métodos; Testes de provocaçao brônquica; Volume expiratório forçado/fisiologia; Oscilometria

INTRODUCTION

Bronchodilator response testing is routinely carried out in pulmonary function laboratories and is aimed at quantifying the reversibility of bronchial obstruction after the use of a bronchodilator. Asthma patients often present positive bronchodilator responses.(1) This evaluation is usually carried out through spirometry. However, the fact that this technique requires great cooperation by patients in order to execute the respiratory maneuvers can limit its use with certain patients, such as children, the elderly and cognitively-impaired individuals.(2) In addition, deep inspiratory maneuvers subject bronchi to stress, which can alter smooth muscle tonus, as well as causing fatigue due to repetition.(3-5) These factors can introduce difficulties into spirometry- based procedures, suggesting the need for new methods that complement the traditional testing.

The main advantages of the forced oscillation technique (FOT) are the fact that patients need to cooperate only in a passive manner and the introduction of new respiratory parameters.(6) Due to the simplicity of the test, which is administered to spontaneously breathing patients, it is recommended for patients who are unfit to perform traditional tests. The new parameters derived from this test allow a more detailed analysis of the respiratory system of asthma patients, which can contribute to a better understanding of physiopathological abnormalities, as well as allowing the evaluation of the therapeutic response and treatment optimization. Although the FOT has great potential for application in the clinical area, few studies investigating that potential in bronchodilator response testing of adult asthma patients have been carried out.

In this context, the objectives of this study were to use FOT to evaluate patients presenting positive bronchodilator response, confirmed through spirometry, and to compare the results with those obtained in healthy individuals. Preliminary results of this study have recently been published in abstract form.(7-8)

METHODS

The study sample consisted of 24 healthy individuals with no history of pulmonary disease and 29 patients with bronchial asthma. Among the asthma patients, mild obstruction was seen in 7, moderate obstruction in 13 and severe obstruction in 9. The control group consisted of healthy nonsmokers with normal spirometric values and no history of respiratory or cardiovascular diseases. Inclusion criteria for asthma patients were clinical diagnosis of asthma, no history of cardiovascular diseases or other respiratory diseases, and being older than 18 years of age. Exclusion criteria were having an asthma attack at the tie of the study or having a history of smoking.

The Ethics Research Committee of the Hospital Universitário Pedro Ernesto (University Hospital Pedro Ernesto) approved the study design, which also meets the criteria established by the Declaration of Helsinki. All participants gave written informed consent.

Spirometric evaluations were carried out using Vitatrace VT 130 SL and Collins/GS spirometers. Bronchodilator response was considered positive when there was an increase of at least 200 mL and 12% in forced expiratory volume in one second (FEV1),(9) or of 350 mL in forced vital capacity (FVC), in relation to baseline values, after the use of 300 g inhaled salbutamol. Spirometry and the FOT were carried out immediately prior to and twenty minutes after the administration of the bronchodilator. Spacers were used during the administration of the bronchodilator.

The system adopted for the FOT trials followed the principles previously described.(6) We must highlight the fact that the FOT should not be confused with the impulse oscillometry technique, which differs in the method of excitation, processing and presentation of results.(10-11)
Basically, the equipment used in the present study(12-14) applies a pressure signal, comprising all the 2-Hz harmonics within the 4-32 Hz range, to the respiratory system of spontaneously breathing individuals.
The FOT allows respiratory impedance to be evaluated within the range of frequencies studied. This parameter has a real component - total respiratory resistance (Rrs) - and an imaginary component - total respiratory reactance (Xrs). In addition to frequency-dependent changes in Rrs and Xrs, other parameters derived from FOT were also analyzed in this study. Applying linear regression to the 4-16 Hz range of the Rrs curve, we determined the resistance at the intercept (R0) and the slope of resistance (S). The R0 has been associated with total respiratory resistance, including the effects of airways, pulmonary tissue and the chest wall, as well as that of gas redistribution (pendelluft).(15) In contrast, the S describes the resistance alterations in relation to the frequency, and has been related to heterogeneities in the respiratory system.(12,16) Based on the Xrs obtained at 4 Hz (Xrs, 4Hz), we calculated the dynamic respiratory compliance(17) (Crs,dyn = -1 / 2 rFXrs,4Hz).

During the test, individuals remained seated in front of the equipment, attached to it by a silicon mouthpiece. A nose clip was used, and patients firmly pressed their cheeks together in order to reduce the upper-airway shunt effect. Figure 1 illustrates the performance of the test. Three consecutive trials, each lasting approximately 16 seconds, were carried out, and the mean was considered the final result. The coherence function used for the acceptance of results was set at a minimum of 0.9.(6)

The results are presented as means ± standard deviations. Statistical analysis was carried out using ORIGIN 6.0 program. Paired Student's t-test was used for the prebronchodilator and postbronchodilator analysis of changes, and unpaired Student's t-test was used in the comparison between the control group and the study group. The level of statistical significance was set at p = 0.05.





RESULTS

Table 1 shows the biometric characteristics of the subjects. We should highlight the fact that, although there were slight age- and weight-related differences between the groups, these differences were not significant (p > 0.05). Another important observation is the fact that these parameters are not determinants in terms of alterations in respiratory impedance, since the main parameter that has significant influence on the impedance - subject height(18) - was quite similar between the groups under study.






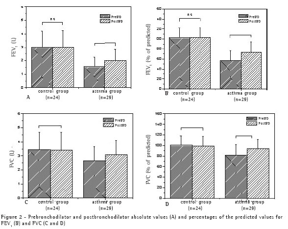
Figure 2 graphically illustrates the results related to spirometric parameters in the control and study groups. When the criterion established for FEV1 was used, 9 asthma patients presented positive responses to the bronchodilator, compared with 20 asthma patients who presented positive responses when the FEV1 and FVC criteria were both used. The control group presented higher FEV1 and FVC values than did the study group. It is of note that, whether expressed in absolute values or in percentages, FEV1 was higher in the control group. In the control group, there were no statistically significant differences between pre bronchodilator and postbronchodilator values for FEV1 or FVC. In contrast, absolute values and percentages for FEV1 and FVC were significantly higher in the subgroup of asthma patients presenting positive bronchodilator response (p < 0.0001).






The results of the analysis of Rrs and Xrs prior to and after the use of the bronchodilator are shown for healthy individuals and for asthma patients
presenting positive bronchodilator responses in Figures 3A and 3B, respectively.






Figure 4 shows the effects of the use of salbutamol in relation to R0, S and Crs,dyn in healthy subjects and in those with asthma. Initially, R0 was significantly higher in asthma patients than in healthy subjects (p < 0.001). Bronchodilation caused a significant reduction in R0 in both asthma patients (p < 0.0001) and healthy subjects (p < 0.001). After the use of the bronchodilator, R0 remained significantly higher in asthma patients (p < 0.001).

The S values were significantly more negative in asthma patients (p < 0.001) than in healthy subjects (Figure 4B). The use of the bronchodilator significantly reduced S values in asthma patients (p < 0.001). There were no statistically significant differences between prebronchodilator and postbronchodilator S values in healthy individuals. After the use of the bronchodilator, S values were even more negative in asthma patients than in control subjects, and this difference was statistically significant (p < 0.001).

Figure 4C shows that prebronchodilator Crs,dyn values trended lower in asthma patients than in healthy subjects (p = ns). There was a significant increase in postbronchodilator Crs,dyn in asthma patients (p < 0.0001). An increase in Crs,dyn was also seen in healthy subjects but was not statistically significant.





DISCUSSION

Through the analysis of Rrs curves, it can be seen that the prebronchodilator control group values were relatively constant, with a slight frequency-dependent increase in Rrs. This result is in concordance with those reported in the literature.(6,18-19) This behavior is related to the homogeneity of the respiratory system of healthy individuals. After the use of the bronchodilator, there was a proportional decrease in Rrs between 4 Hz and 32 Hz, which is in agreement with previously reported results.(20)
This decrease, which was consistent throughout the frequency range studied, is probably associated with the reduction of peripheral airway resistance due to smooth muscle relaxation. It is interesting to note that such effect even occurred in individuals with no respiratory disturbances.
This is due to a slight reduction of bronchiolar tonus.

Prebronchodilator Rrs was higher in asthma patients than in the control subjects. This occurred primarily at the lower frequencies. This result is in agreement with those of other studies and reflects the greater respiratory obstruction seen in asthma patients.(6,10,12) It is important to highlight the fact that the asthma group presented negative Rrs dependence, especially at frequencies from 4 Hz to 16 Hz. This phenomenon reflects the behavior of a heterogeneous respiratory system (with different time constants in the airways).

After the use of the bronchodilator in the asthma group, Rrs decreased, especially in the lower frequencies, and there was also an evident decrease in the negative dependence of the Rrs curve in relation to the frequencies. Similar results were reported in previous studies with patients with asthma and chronic obstructive pulmonary disease.(21-22)

Slightly negative results were found in Xrs in the low frequencies of the control group. These values were positive in higher frequencies for that group. After the use of the bronchodilator, this curve practically showed no alterations. In the study group, Xrs had initially more negative values and a more evident positive dependence with the frequency. This dependence is related to the heterogeneity of peripheral constrictions, which results in partial or total obstruction of some airways, characterizing the presence of different pulmonary time constants.(23) The decrease in Xrs after the use of the bronchodilator mainly occurred in low frequencies.

R0 was considered a useful parameter for the analysis of bronchodilator response in asthma patients.(22) In concordance with this proposition, our results showed that bronchodilation induced a significant reduction in R0, in healthy subjects and asthma patients alike. This result corroborates the proposition that smooth muscle relaxation occurs even in individuals presenting no respiratory disturbances. However, in strict agreement with the physiopathological principles involved, we can see that
prebronchodilator resistance was higher in asthma patients than in healthy subjects. Another important observation is that the alterations in R0 were greater in asthma patients than in control subjects, confirming the results of pilot studies conducted by our group, in which smaller patient samples were involved.(7-8) Even after the use of the bronchodilator, the R0 of asthma patients remained higher. This is probably related to the inflammatory effect of the disease.

Healthy individuals presented mean S values that were near zero, which is in agreement with data previously published in the literature,(6,11,13,24) as well as with the fact that the respiratory system of such individuals can be described as a one-compartment model,(25) i.e. a homogeneous respiratory system. Asthma patients presented values that were more negative. This indicates greater pulmonary heterogeneity and shunt impedance effect in these individuals.(6,10,12,26) In the asthma patients, the use of the bronchodilator reduced S values, which might reflect either a reduction in the respiratory system impedance(22) or a tendency toward increasing homogeneity of the system. In contrast, there was no statistical significance between prebronchodilator and postbronchodilator S values in healthy subjects. This finding might be explained by prebronchodilator homogeneity of the respiratory system, which would result in the medication causing only a small alteration in such individuals. Although the use of the bronchodilator reduced S in asthma patients, postbronchodilator S values were even more negative than prebronchodilator values when compared to the control group subjects.
This shows that not all of the imbalances in time constants of the respiratory system were eliminated with the use of the bronchodilator.
In Figure 4C, it can be clearly seen that prebronchodilator Crs,dyn values were slightly lower in the asthma group than in the control group and that this difference trended toward significance. There was a significant increase in Crs,dyn after the use of the bronchodilator in asthma patients.
This finding reflects an improvement in the distribution of pulmonary ventilation.(26) There was also a postbronchodilator increase in Crs,dyn in the control group, although this increase was not statistically significant.
Some authors who studied children with asthma presenting positive bronchodilator response have reported that dynamic compliance was one of the parameters that showed better percentage variations with the use of salbutamol. Structural alterations related to bronchial remodeling, including collagen deposition in the basal membrane of airways due to chronic inflammation, can explain the decreased airway wall compliance and, consequently, in Crs,dyn seen in asthma patients.(27) In addition, it is known that the contraction of smooth muscles in the bronchi functions to increase their rigidity. According to other authors,(28) bronchodilators increase airway wall compliance by relaxing the smooth muscles of the bronchi, which could explain the improvement of Crs,dyn after the use of salbutamol.

When the FOT results are compared with asthma severity, it can be seen that, in general, the bronchodilator-induced reduction in Rrs became more pronounced in parallel with the increases in obstruction. Similar results could be seen regarding Xrs, in that the alteration caused by the use of the bronchodilator was more significant when the level of obstruction was higher. Consequently, the changes in the parameters related to Rrs (R0 and S) and Xrs (Crs,dyn) were dependent on the severity of the asthma.
These results are in agreement with the proposition that, in asthma patients, postbronchodilator alterations in respiratory mechanics increase in parallel with the level of respiratory obstruction.

One of the main limitations of the FOT is related to upper airway impedance, which runs parallel to that of the respiratory system.(6) In this case, effectively measured impedances will be lower than those present in the respiratory system, and this error increases in parallel with impedance. In this study, in order to reduce this effect, individuals were asked to place their chin in their hands and firmly press their cheeks together.

The alterations in the FOT parameters were smaller when spirometric parameters showed smaller alterations after the bronchodilator response test. Consequently, we could suppose that, in individuals responding negatively to the bronchodilator (presenting smaller spirometric alterations), we would also find smaller alterations in the FOT parameters.
However, this supposition could only be confirmed through further studies.

The process of spontaneous ventilation introduces errors in the 0.25-8 Hz range, which could limit the reliability of the FOT results obtained within this range.(6) In the present study, these errors were reduced by the use of a coherence function set at a minimum of 0.9, which guaranteed that the margin of error was lower than 5%.

Based on the previous discussion, we can conclude that the FOT provided respiratory parameters in agreement with the modifications that occurred in the respiratory system of asthma patients presenting positive bronchodilator responses. This confirmed the high potential of this technique as an alternative for the study of the bronchodilator response in such individuals. Therefore, based on the promising results shown in the present study, further studies are being conducted in order to validate the clinical use of FOT for bronchodilator response evaluation.

ACKNOWLEDGMENTS

The authors would like to thank the technicians responsible for the spirometric testing at the Hospital Universitário Pedro Ernesto, Edinete do Rosário Limeira and Luzia da Silva Batista, as well as the staff at the Laboratório de Instrumentação Biomédica (Laboratory of Biomedical Instrumentation), Jayme Alves de Mesquita Júnior, Josiel Gonçalves dos Santos and Álvaro Camilo Dias Faria. The authors are also grateful to CNPq and FAPERJ for the financial support provided.

REFERENCES

1. Kirk K. Asma brônquica. In: Silveira IC. O pulmão na prática médica: sintoma, diagnóstico e tratamento. 4a ed. Rio de Janeiro: Publicações Médicas; 2000. p. 415-48.
2. Carvalhaes-Neto N, Lorino H, Gallinari C, Escolano S, Mallet A, Zerah F, et al. Cognitive function and assessment of lung function in elderly. Am J Respir Crit Care Med. 1995;152(5 Pt 1):1611-5.
3. Dias RM, Chauvet PR, Siqueira HR, Rufino R. Testes de função respiratória: do laboratório à aplicação clínica com 100 exercíciios para o diagnóstico. São Paulo: Atheneu; 2000.
4. Pairon JC, Iwatsubo Y, Hubert C, Lorino H, Nouaigui H, Gharbi R, et al. Measurement of bronchial responsiveness by forced oscillation technique in occupational epidemiology. Eur Respir J. 1994;7(3):484-9.
5. Bohadana AB, Peslin R, Megherbi SE, Teculescu D, Sauleau EA, Wild P, et al. Dose-response slope of forced oscillation and forced expiratory parameters in bronchial challenge testing. Eur Respir J. 1999;13(2):295-300.
6. Melo PL, Werneck MM, Giannella-Neto A. Avaliação de mecânica ventilatória por oscilações forçadas: fundamentos e aplicações clínicas. J Pneumol. 2000; 26(4):194-206.
7. Di Mango AM, Cavalcanti JV, Lopes AJ, Jansen JM, Melo PL. Forced oscillation technique assessing bronchodilator response in asthmatic and COPD patients [abstract]. Chest. 2002;122(4 Suppl):138S.
8. Cavalcanti JV, Silva JMJ, Lopes AJ, Melo PL. Técnica de oscilações forçadas (FOT) no estudo da resposta broncodilatadora em indivíduos portadores de asma brônquica. J Pneumol. 2003;29 Supl 1:32.
9. Lung function testing: selection of reference values and interpretative strategies. American Thoracic Society. Am Rev Respir Dis. 1991;144(5):1202-18. Comment in: Am Rev Respir Dis. 1992;146(5 Pt 1):1368-9.
10. MacLeod D, Birch M. Respiratory input impedance measurements: forced oscillation methods. Med Biol Eng Comput. 2001;39(5):505-16.
11. Hellinckx J, Cauberghs M, De Boeck K, Demedts M. Evaluation of impulse oscillation system: comparison with forced oscillation technique and body plethysmography. Eur Respir J. 2001;18(3):564-70.
12. Melo PL, Werneck MM, Giannella-Neto A. Design and application of a system for asthma evaluation by the forced oscillation technique. In: Nefeen HE, Baena-Cagnani CEN, Yanes A, editors. Free Communication Book of the XVI World Congress of Asthma. Bologna, 1999;225-9.
13. Melo PL, Werneck MM, Giannella-Neto A. New impedance spectrometer for scientific and clinical studies of respiratory system. Rev Sci Instrum. 2000;71(7):2867-72.
14. Melo PL, Werneck MM, Giannella-Neto A. Linear servo-controlled pressure generator for forced oscillation measurements. Med Biol Eng Comput. 1998;36(1):11-6.
15. Lorino AM, Zerah F, Mariette C, Harf A, Lorino H. Respiratory resistive impedance in obstructive patients: linear regression analysis vs viscoelastic modeling. Eur Respir J. 1997;10(1):150-5.
16. Brochard L, Pelle G, de Palmas J, Brochard P, Carre A, Lorino H, et al. Density and frequency dependence of resistance in early airway obstruction. Am Rev Respir Dis. 1987;135(3):579-84.
17. Nagels J, Landser FJ, Van der Linden L, Clement J, Van de Woestijne KP. Mechanical properties of lungs and chest wall during spontaneous breathing. J Appl Physiol. 1980;49(3):408-16.
18. Landser FJ, Clement MD, Van de Woestijne KP. Normal values of total respiratory resistance and reactance determined by forced oscillations: influence of smoking. Chest. 1982;81(5):586-91.
19. Kim CW, Kim JS, Park JW, Hong CS. Clinical applications of forced oscillation techniques (FOT) in patients with bronchial asthma. Korean J Intern Med. 2001;16(2):80-6.
20. Manco JC, Hyatt RE, Rodarte JR. Respiratory impedance in normal humans: effects of bronchodilatation and bronchoconstriction. Mayo Clin Proc. 1987;62(6):487-97.
21. Van Noord JA, Smeets J, Clément J, Van de Woestijne KP, Demets M. Assessment of reversibility of airflow obstruction. Am J Respir Crit Care Med. 1994;150(2): 551-4.
22. Zerah F, Lorino AM, Lorino H, Harf A, Macquin-Mavier I. Forced oscillation technique vs spirometry to assess bronchodilatation in patients with asthma and COPD. Chest. 1995;108(1):41-7.
23. Lutchen KR, Gillis H. Relationship between heterogeneous changes in airway morphometry and lung resistance and elastance. J Appl Physiol. 1997; 83(1):1192-201.
24. Wouters EFM. Data interpretation of total respiratory impedance measurements in clinical practice. Eur Respir Rev. 1991;1(3):216-7.
25. Peslin R, Fredberg JJ. Oscillation mechanics of the respiratory system. In: Macklem PT, Meads J, editors. Handbook of physiology. The respiratory system III. Mechanism of breathing. Bethesda: American Physiological Society; 1986. p. 145-77.
26. Mazurek HK, Marchal F, Derelle J, Hatahet R, Moneret-Vautrin D, Monin P. Specificity and sensitivity of respiratory impedance in assessing reversibility of airway obstruction in children. Chest. 1995;107(4):996-1002.
27. Vignola AM, Mirabella F, Costanzo G, Di Giorgi R, Gjomarkaj M , Bellia V, Bonsignore G. Airway remodeling in asthma. Chest. 2003;123:417-22.
28. Delacourt C, Lorino H, Herve-Guillot M, Reinert P, Harf A, Housset B. Use of the forced oscillation technique to assess airway obstruction and reversibility in children. Am J Respir Crit Care Med. 2000;161(3 Pt 1):730-6.
_________________________________________________________________________________
* Study carried out at the Universidade do Estado do Rio de Janeiro (UERJ, University of the State of Rio de Janeiro), Rio de Janeiro, Rio de Janeiro, Brazil
Financial support provided by: CNPq: grant number 307776/2004-2; FAPERJ grant number E-26/170-604/2004.
1.Physiotherapist at the Universidade do Estado do Rio de Janeiro (UERJ, University of the State of Rio de Janeiro), Rio de Janeiro, Rio de Janeiro, Brazil
2.Pulmonologist at the Universidade do Estado do Rio de Janeiro (UERJ, University of the State of Rio de Janeiro), Rio de Janeiro, Rio de Janeiro, Brazil
3.Full Professor at the Universidade do Estado do Rio de Janeiro (UERJ, University of the State of Rio de Janeiro), Rio de Janeiro, Rio de Janeiro, Brazil
4.Adjunct Professor at the Universidade do Estado do Rio de Janeiro (UERJ, University of the State of Rio de Janeiro), Rio de Janeiro, Rio de Janeiro, Brazil
Correspondence to: Pedro Lopes de Melo. Rua São Francisco Xavier, 524, Pavilhão Haroldo Lisboa da Cunha, térreo, salas 104 /105 - CEP: 20550-013, Rio de Janeiro, RJ, Brazil. Phone.: 55 21 2587-7773. E-mail: plopes@uerj.br, julianaveiga@hotmail.com
Submitted: 28 December 2004. Accepted, after review: 8 September 2005.


Indexes

Development by:

© All rights reserved 2025 - Jornal Brasileiro de Pneumologia